Up: Return
EML 5060 Analysis in Mechanical Engineering 12/15/00
Closed book Van Dommelen 10:00-12:00 noon
Show all reasoning and intermediate results leading to your answer, or
credit will be lost. One book of mathematical tables, such as Schaum's
Mathematical Handbook, may be used, as well as a calculator and a
handwritten formula sheet.
- 1.
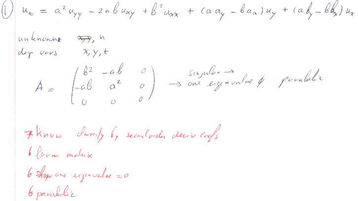
- The 2D unsteady boundary layer equations in Lagrangian coordinates
take the form:
ut = a2 uyy - 2 a b uxy + b2 uxx +
(a ay - b ax) uy + (a by - b bx) ux
in which a and b can be considered given functions of x and y.
Classify this equation.
Solution.
- 2.
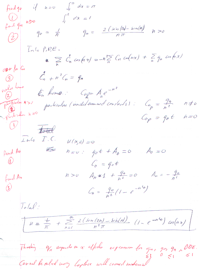
- Find the rising temperature u(x,t) in a bar
with insulated ends if heat is added to the center part of the bar
at a constant rate:



Solution a.
Solution b.
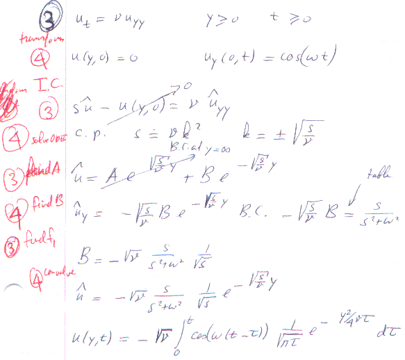
- 3.
- Find the unsteady velocity u(y,t) in a fluid that is put into
horizontal oscillatory motion by a oscillating shear force.
The Navier-Stokes equations for this flow are:


where the frequency of the applied force
and the
viscosity of the fluid
are given constants.
Solution.
- 4.
- Solve the 3D steady heat conduction inside an infinite circular pipe
of radius a if the pipe surface is kept at a constant temperature
T0. Inside the pipe, at a radial distance
away from
the axis, there is a point source of heat putting out Q units of heat
per unit time.
Using the results, discuss the temperature distribution in cross
sections well away from the point heat source. How is the
temperature different from T0? How rapidly does the
temperature drop off to T0 in the axial direction?
Solution.
Up: Return