Up: Return
EML 5060 Analysis in Mechanical Engineering 10/20/00
Closed book Van Dommelen 10:45-11:35am
Show all reasoning and intermediate results leading to your answer, or
credit will be lost. One book of mathematical tables, such as Schaum's
Mathematical Handbook, may be used, as well as a calculator.
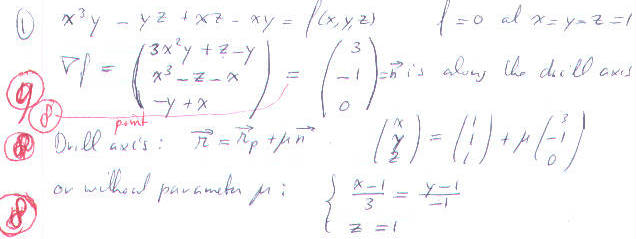
- 1.
- We want to drill a hole in a body with surface
x3y - yz + xz -xy = 0
at the point with coordinates (1,1,1). The drill should hit
the surface straight on. Find the axis of the drill in
terms of x, y, and z only.
Solution.
- 2.
- Consider a vibrating string.
Assume we measure the transverse
displacement of the string at various times at 6 equally spaced
points (including the end points.) In particular we measure
the six displacements to be:
- (0,1,1, 1,1,0) at time t=0
- (0,3,3, 1,1,0) at time t=1
- (0,4,2,-2,0,0) at time t=2
- (0,3,1,-1,1,0) at time t=3
- (0,6,4, 0,2,0) at time t=4
Of course, the string displacements are sums of independent natural modes
with amplitudes that vary with time. Based on the measured displacements,
what can you say about the number of modes that are significant in
the vibration?
Solution.
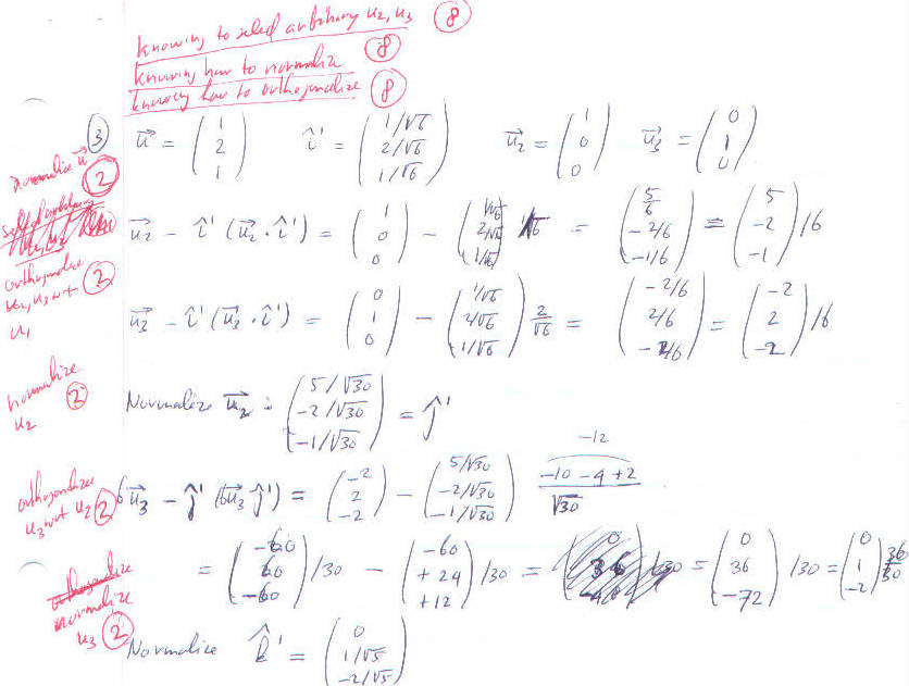
- 3.
- The average magnetic field vector in a region is given by
. Use Gram-Schmidt to find an orthogonal coordinate
system in which
is aligned with the positive x'-axis.
Solution.
Up: Return