Up: Return
EML 5060 Analysis in Mechanical Engineering 11/01/00
Closed book Van Dommelen 10:45-11:35am
Show all reasoning and intermediate results leading to your answer, or
credit will be lost. One book of mathematical tables, such as Schaum's
Mathematical Handbook, may be used, as well as a calculator.
- 1.
- The field lines of a magnetic field in a noninertial
coordinate system (x,y) satisfy the equation:

Draw the field lines assuming A and B are positive constants.
Solution.
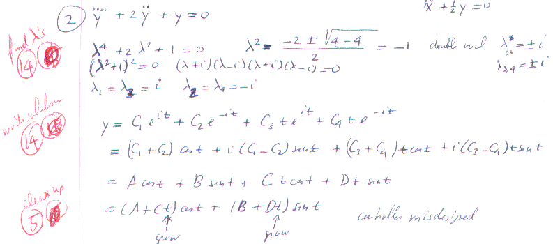
- 2.
- A controlled system has, after reduction, a perturbation equation

Solve for y. Make sure to clean up the solution.
Is the controller well designed? (Hint:
first find the two roots for
.)
Solution.
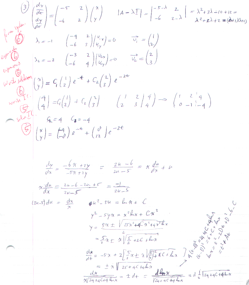
- 3.
- The following system of equations describes
a linearized population or chemical reaction problem:

Find x and y.
Solution.
Alternate solution.
Up: Return