Up: Return
EML 5060 Analysis in Mechanical Engineering 11/5/01
Closed book Van Dommelen 10:35-11:25am
Show all reasoning and intermediate results leading to your answer, or
credit will be lost. One book of mathematical tables, such as Schaum's
Mathematical Handbook, may be used, as well as a calculator.
Work very carefully.
- 1.
- The equation governing streamlines in two-dimensional flows is

For some flow, the velocity components are

Find and neatly draw the streamlines of this flow. (30 points for
solving, 3 points for drawing.)
Solution.
- 2.
- Solve the following equation describing a damped spring mass
system subject to a decaying external force:

Solution.
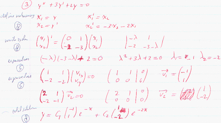
- 3.
- Solve the homogeneous part of the equation of question 2
as a system of first order equations in the way it was done in
class.
Solution.
Up: Return