Up: Return
EML 5060 Analysis in Mechanical Engineering 11/6/02
Closed book Van Dommelen 9:50-10:40 pm
ODE should be solved using the fundamental analytical procedures used
in class only: be sure to show your complete derivation, not just the
answer. Clean up your answer as much as possible, compare to class.
One book of mathematical tables, such as Schaum's Mathematical
Handbook, may be used, as well as a calculator.
- 1.
- The velocity of a mass experiencing air resistance as well
as a decreasing viscous braking is;

Neatly draw the solution curves v as a function of t, showing
all features.
Solution.
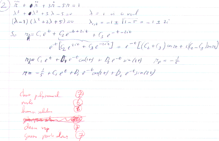
- 2.
- The position of a mass suspended on a spring and a damper
and experiencing an exponentially increasing force is:

Find the general solution to this equation.
Solution.
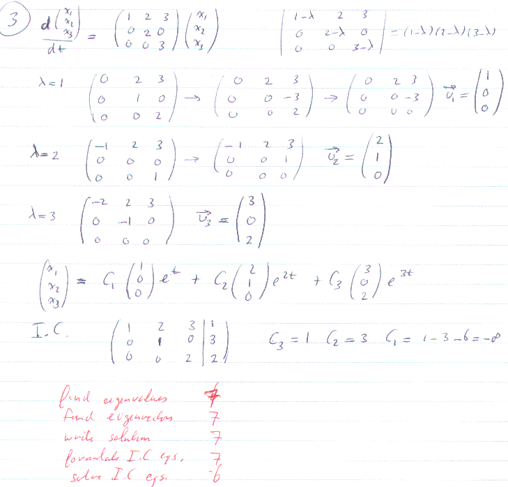
- 3.
- Solve the following system using the procedure for systems
followed in class:

Solution.
Up: Return