Up: Return
EML 5060 Analysis in Mechanical Engineering 12/11/03
Closed book Van Dommelen 3:00-5:00 pm
Solutions should be fully derived using class procedures: be
sure to show your complete derivation, not just the answer. ``My
calculator / mathematical handbook says that this is the solution'' is
not acceptable. You must state what result of yours answers what part
of the question if there is any ambiguity. Answer exactly what is
asked; you do not get any credit for making up your own questions and
answering those.
One book of mathematical tables, such as Schaum's Mathematical
Handbook, may be used, as well as a calculator, and a handwritten
letter-size formula sheet.
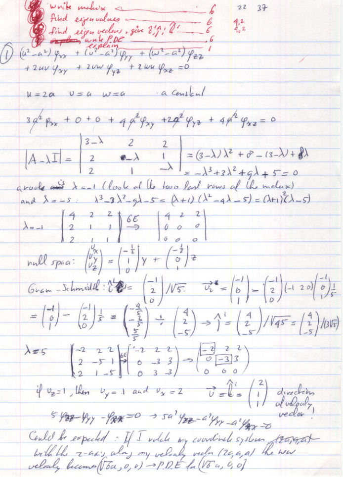
- 1.
- Small-scale perturbations in a supersonic flow satisfy the
following PDE for the perturbation pressure p(x,y,z):
(u2 - a2) pxx + (v2 - a2) pyy + (w2 - a2) pzz
+ 2 u v pxy + 2 v w pyz + 2 w u pzx = 0
where a is the speed of sound, which is to be assumed constant,
and (u,v,w) is the supersonic flow velocity; take it as
(u,v,w)=(2a,a,a). Derive the simplified canonical equation by
rotating the coordinate system using class PDE transformation
procedures. Give the simplified equation and the new coordinate
system. Explain why the results you obtained could have been
expected physically without doing the math.
Solution.
- 2.
- Find the unsteady temperature distribution u(x,t) in a bar
extending from x=0 to
, if the initial temperature at
time t=0 is zero, and the end at x=0 is held at 5 degrees
centigrade for 0<t<1 and at zero degrees for 1<t. The heat
conduction coefficient is 9 m2/s. Be sure to simplify your
answer and write it in terms of what is given only.
Solution.
- 3.
- Find the unsteady temperature distribution u(x,t) in a bar of
length 3 m if the end at x=0 m is held at 15 degrees Centigrade,
while the other end at x=3 m is insulated (i.e. it has a
homogeneous Neumann boundary condition.) Assume the initial
temperature to be of the form u(x,0)=f(x) where f(x)=20 C in the
range 0 m<x<1 m and f(x)=15 C for 1 m<x<3 m. The heat
conduction coefficient is 9 m2/s
Solution.
- 4.
- Answer the preassigned PDE problem. Your solution may be
brought into the exam.
Solution.
Up: Return