EML 5060 Analysis in Mechanical Engineering 12/15/06
Closed book Van Dommelen 7:30-9:30 am

Solutions should be fully derived showing all intermediate results, using class procedures. Show all reasoning. Bare answers are absolutely not acceptable, because I will assume they come from your calculator (or the math handbook, sometimes,) instead of from you. You must state what result answers what part of the question if there is any ambiguity. Answer exactly what is asked; you do not get any credit for making up your own questions and answering those. Use the stated procedures.

One book of mathematical tables, such as Schaum's Mathematical Handbook, may be used, as well as a calculator, and a handwritten letter-size formula sheet.

  1. Background: Because Newton's second law is second order in time, simple dynamical systems are described by second order equations. This looks at an example of such a system under exponential forcing.

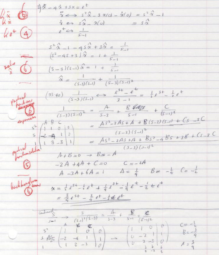
    Question: Derive the solution of

    \begin{displaymath}
\ddot x - 4 \dot x + 3 x = e^t \qquad x(0)=0 \quad \dot x(0)=1
\end{displaymath}

    using the class procedures for guessing solutions for scalar equations of this type. This also includes using the method of undetermined coefficients.

    Solution.

  2. Background: To study stability, Laplace transform solution is often more convenient.

    Question: Solve the same problem as question 1, but this time do it using the method of Laplace transform and decomposition in partial fractions.

    Solution.

  3. Background: When we go to nonlinear, and more complicated dynamical systems, it is usually more convenient to use first order systems instead.

    Question: Convert the homogeneous equation of the previous questions into a first order system and solve using vector procedures only. Ignoring the initial conditions, very carefully draw all possible shapes of solution curves in the phase plane. I need to see where curves are parallel to each other accurately, as well as the angles they make with the axes. Finally, sketch the solution curve in the phase plane that satisfies the given initial conditions.

    Solution.