EML 5060 Analysis in Mechanical Engineering 9/27/06
Closed book Van Dommelen 11:50-12:40 pm

Solutions should be fully derived showing all intermediate results, using class procedures. Bare answers are absolutely not acceptable, because I will assume they come from your calculator (or the math handbook, sometimes,) instead of from you. You must state what result answers what part of the question if there is any ambiguity. Answer exactly what is asked; you do not get any credit for making up your own questions and answering those.

One book of mathematical tables, such as Schaum's Mathematical Handbook, may be used, as well as a calculator, and a handwritten letter-size formula sheet.

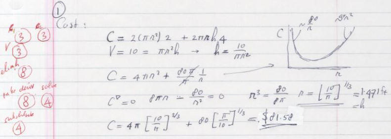
  1. Background: The curved surface of a barrel will be more expensive to make than the top and bottom. This question intends to find the most economical dimensions if the cost per square feet of the curved surface is twice that of the flat bottom and top surfaces.

    Question: If for a cylindrical container, the cost of the cylindrical surface is $4/ft$^2$ and that of the top and bottom circles is $2/ft$^2$, then what is the lowest possible cost of a barrel that is to hold 10 ft$^3$?

    Solution.

  2. Background: In the Lagrangian description of an established unsteady separation point, the position of the particles at the separation position can be written as $y=\pm x\sqrt{1+x}$.

    Question: Analyze and graph very neatly the curve

    \begin{displaymath}
y = x\sqrt{1+x}
\end{displaymath}

    Discuss presence or absence of $x$-and $y$- intercepts, local maxima and minima, global maxima and minima, vertical, oblique, and horizontal asymptotes, vertical slopes, cusps, and kinks, and give $x$ and $y$ extents. Features that are unclear or ambiguous in the graph count as failed. Note: you do not have to discuss inflection points.

    Solution.

  3. Background: Unlike you might think from the book, finding centroids and moments of inertia of plates is not always just a matter of integrating powers of $x$ and $y$. If the thickness or material density vary, any integral may show up.

    Question: Integrate

    \begin{displaymath}
\int \frac{\exp\big(\arctan(y/x)\big)}{x}\;{\rm d}A
\end{displaymath}

    over the surface bounded by $y=x$, $y=-x$, and $x^2+y^2 - 2 x=0$. Hint: Use polar coordinates.

    Solution.