EML 5060 Analysis in Mechanical Engineering 9/26/07
Closed book Van Dommelen 11:50-12:40 pm

Solutions should be fully derived showing all intermediate results, using class procedures. Show all reasoning. Bare answers are absolutely not acceptable, because I will assume they come from your calculator (or the math handbook, sometimes,) instead of from you. You must state what result answers what part of the question if there is any ambiguity. Answer exactly what is asked; you do not get any credit for making up your own questions and answering those. Use the stated procedures.

One book of mathematical tables, such as Schaum's Mathematical Handbook, may be used, as well as a calculator, and a handwritten letter-size formula sheet.

  1. Background: The volume of a carbon nano tube with spherical end caps can be approximated as

    \begin{displaymath}
V=\pi r^2 \ell + \frac43 \pi r^3
\end{displaymath}

    where $r$ is the radius of the tube and $\ell$ is the length.

    Question: Find the expression for the time derivative of the volume when $r$ and $\ell$ change according to

    \begin{displaymath}
\frac{{\rm d}r}{{\rm d}t} = r + \sin r
\qquad
\frac{{\rm d}\ell}{{\rm d}t} = \tan(r)
\end{displaymath}

    Solution.

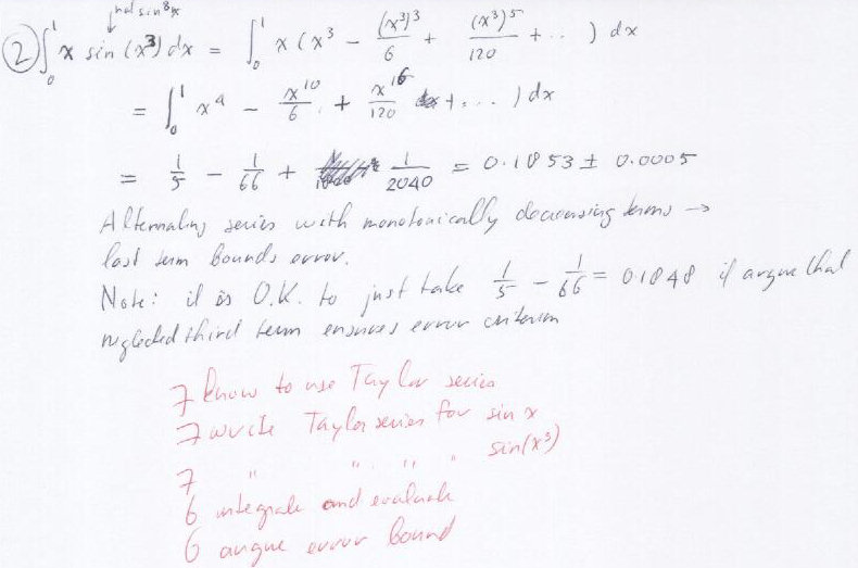
  2. Background: Often, integrals are encountered for which an anti-derivative cannot be found. Approximation is then needed.

    Question: Approximate

    \begin{displaymath}
\int_0^1 x\sin(x^3)\;{\rm d}x
\end{displaymath}

    to an error no larger than 0.0005, doing the minimum amount of work possible. Explain in detail how you can be sure that the error in your result is no larger than 0.0005. Note: that is $\sin(x^3)$, not $\sin^3x$.

    Solution.

  3. Background: If your laser beam is to move through a long pipe with flat sides, it must be parallel to the sides of the pipe.

    Question: Find the equation of the line through point P, (1,2,3), and parallel to the planes

    \begin{displaymath}
7 x + 4 y + 3 z = 5 \qquad 8 x + y - z = 21
\end{displaymath}

    Solution.