EML 5060 Analysis in Mechanical Engineering 12/12/08
Closed book Van Dommelen 7:30-9:30 am

Solutions should be fully derived showing all intermediate results, using class procedures. Show all reasoning. Bare answers are absolutely not acceptable, because I will assume they come from your calculator (or the math handbook, sometimes,) instead of from you. You must state what result answers what part of the question if there is any ambiguity. Answer exactly what is asked; you do not get any credit for making up your own questions and answering those. Use the stated procedures. Give exact, cleaned-up, answers where possible.

One book of mathematical tables, such as Schaum’s Mathematical Handbook, may be used, as well as a calculator, and a handwritten letter-size formula sheet. The Laplace tables of the book are attached.

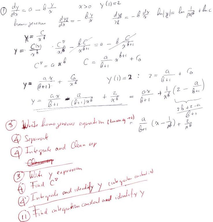
  1. Background: In the approximate Pohlhausen method for boundary layers, the following ODE arises

    \begin{displaymath}
\frac{{\rm d}y}{{\rm d} x} = a - \frac{b y}{x}
\end{displaymath}

    where $a$ and $b$ are given constants

    Question: Solve the above ODE using the class procedures for this type of ODE. Assume

    \begin{displaymath}
x>0 \qquad y(1)=2
\end{displaymath}

    Solution.

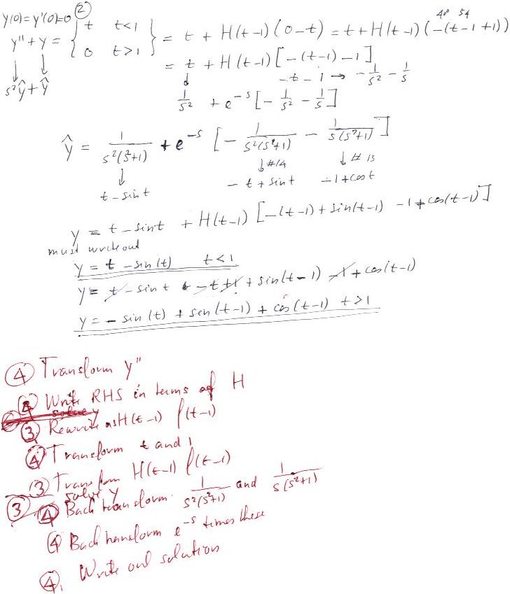
  2. Background: Laplace transforms are a good way to solve dynamical systems, especially when their large-time behavior or stability is of interest.

    Question: Solve

    \begin{displaymath}
\frac{{\rm d}^2 y}{{\rm d} t^2} + y =
\left\{
\begin{a...
...
\right. \qquad
y(0) = \frac{{\rm d} y}{{\rm d} t}(0) = 0
\end{displaymath}

    using the class Laplace transform procedures. Make sure there is no funny mathematics in your final answer. It must be phrased in simple terms that the instructor can understand. Solution.

  3. Background: First order systems of ODE have the advantage that they can be used regardless of the size of your dynamic system and its nonlinearity.

    Question: Consider a simple case; that of a mass spring-system with nonlinear damping:

    \begin{displaymath}
\frac{{\rm d}^2 y}{{\rm d} t^2}
+ y^2 \frac{{\rm d} y}{{\rm d} t}
+ 4 y = 0
\end{displaymath}

    1. Explain how this second order equation can be reduced to the first order system

      \begin{displaymath}
\frac{{\rm d} x_1}{{\rm d} t} = x_2
\qquad
\frac{{\rm d} x_2}{{\rm d} t} = -x_1^2 x_2 - 4x_1
\end{displaymath}

    2. Explain why information about this nonlinear system can be obtained from solving the following, single, linear system:

      \begin{displaymath}
\frac{{\rm d}}{{\rm d} t}
\left(\begin{array}{c} y_1 \\ ...
...ight)
\left(\begin{array}{c} y_1 \\ y_2 \end{array}\right)
\end{displaymath}

      and identify $y_1$ and $y_2$.
    3. Solve the linear system using class procedures for constant coefficient first order systems.
    4. Classify the type of point and its stability.
    5. Verify that you got it right based on the determinant/trace plot.
    6. Very neatly and quantitatively correct, draw three representative solution curves. Show the direction of time evolution using arrows.
    7. Is the linear system theoretically guaranteed to correctly predict the behavior of the nonlinear one? Sketch in a separate phase plane what you expect for the nonlinear system.

    Solution.