EML 5060 Analysis in Mechanical Engineering 9/24/08
Closed book Van Dommelen 11:50-12:40 pm

Solutions should be fully derived showing all intermediate results, using class procedures. Show all reasoning. Bare answers are absolutely not acceptable, because I will assume they come from your calculator (or the math handbook, sometimes,) instead of from you. You must state what result answers what part of the question if there is any ambiguity. Answer exactly what is asked; you do not get any credit for making up your own questions and answering those. Use the stated procedures. Give exact, cleaned-up, answers where possible.

One book of mathematical tables, such as Schaum's Mathematical Handbook, may be used, as well as a calculator, and a handwritten letter-size formula sheet.

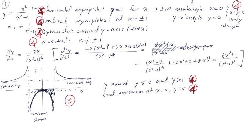
  1. Background: Graphical depiction of a function is often an essential part to understand its properties.

    Question: Analyze and very neatly graph

    \begin{displaymath}
y=\frac{x^2}{x^2-1}
\end{displaymath}

    List $x$ and $y$ intercepts and extents, horizontal, oblique and vertical asymptotes, symmetries, local and global maxima and minima, kinks, cusps, vertical slopes.

    Solution.

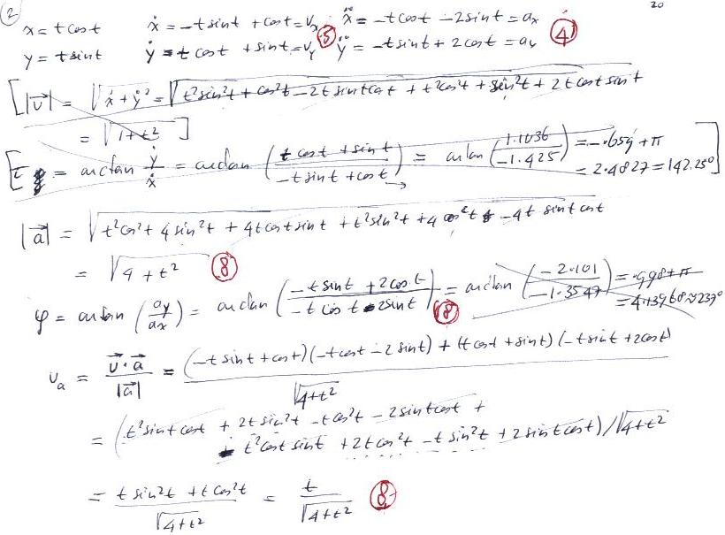
  2. Background: If you drive your car too fast into a curve, you might find yourself spiralling outward.

    Question: Assume the position of your spiralling car is given as a function of time by

    \begin{displaymath}
x=t\cos(t) \qquad y = t\sin(t)
\end{displaymath}

    Find velocity and acceleration, the magnitude of the acceleration, the counter-clockwise angle that the acceleration vector is away from positive $x$-axis, and the component of the velocity in the direction of the acceleration vector. Evaluate the angle between the acceleration vector and the $x$-axis at time 1.5 (rad.)

    Solution.

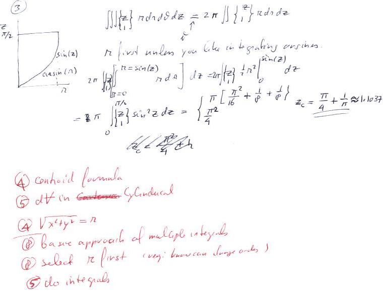
  3. Background: The centroid, or center of gravity, of a body is central to its dynamics and statics.

    Question: Derive the centroid of the body of revolution given in as being above $z=\arcsin\left(\sqrt{x^2+y^2}\right)$, i.e.  $\sqrt{x^2+y^2}=\sin(z)$, and below $z=\pi/2$. Of course, the centroid is on the $z$-axis, so only the $z$-position is needed. You may want to use cylindrical coordinates.

    Solution.