EML 5060 Analysis in Mechanical Engineering 10/31/08
Closed book Van Dommelen 11:50-12:40 pm

Solutions should be fully derived showing all intermediate results, using class procedures. Show all reasoning. Bare answers are absolutely not acceptable, because I will assume they come from your calculator (or the math handbook, sometimes,) instead of from you. You must state what result answers what part of the question if there is any ambiguity. Answer exactly what is asked; you do not get any credit for making up your own questions and answering those. Use the stated procedures. Give exact, cleaned-up, answers where possible.

You must use the systematic procedures described in class, not mess around randomly until you get some answer. Geometry must be done using vector operations. Use standard matrix methods to determine linear independence and simplified bases of vector spaces. You need to reduce matrices to echelon form where elimination is called for, using the basic row operations and following the class procedures exactly. Do not take shortcuts. Do not reduce further if there is no need. Eigenvalues must be found using minors only. Eigenvectors must be found by identifying the basis vectors of the appropriate null space if there are multiple eigenvalues, using the appropriate procedures. Eigenvectors to symmetric matrices must be orthonormal. Higher matrix powers and polynomials must be found through transformation, not crunching. Inverses must be found the quick way, where possible.

One book of mathematical tables, such as Schaum’s Mathematical Handbook, may be used, as well as a calculator, and a handwritten letter-size formula sheet.

  1. Background: To solve a system of equations most efficiently, the matrix should be reduced to echelon, but not to reduced echelon (canonical) form.

    Question: Reduce the matrix below to echelon form but not reduced echelon form using class procedures. Do not do more operations than needed.

    \begin{displaymath}
\left(
\begin{array}{cccc}
0 & 0 & 1 \\
0 & 1 & 2 \\
1 & 2 & 3 \\
4 & 5 & 6 \\
7 & 8 & 9
\end{array} \right)
\end{displaymath}

    Solution.

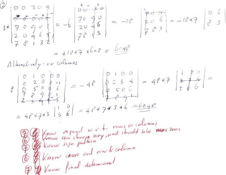
  2. Background: For purposes such as analyzing natural frequencies, sometimes an analytical expression of a determinant is needed.

    Question: Find, without any row (or column) operations

    \begin{displaymath}
\left\vert
\begin{array}{cccccc}
0 & 0 & 1 & 0 & 0 & 0 \\...
... & 6 & 5 \\
7 & 8 & 9 & 1 & 3 & 2
\end{array} \right\vert
\end{displaymath}

    At every stage, choose the approach that requires the smallest possible number of terms. If you do it correctly, it will be quick.

    Solution.

  3. Background: Streamlines in the vicinity of stagnation points can often be found as lines on which a quadratic form is constant.

    Question: Using class procedures, find and very accurately and neatly draw the lines on which $6x_1^2-12x_1x_2+x_2^2=-3$. List all relevant angles and intercepts in the picture to fully define it.

    Solution.