EML 5060 Analysis in Mechanical Engineering 12/8/09
Closed book Van Dommelen 10:00-12:00 am

Solutions should be fully derived showing all intermediate results, using class procedures. Show all reasoning. Bare answers are absolutely not acceptable, because I will assume they come from your calculator (or the math handbook, sometimes,) instead of from you. You must state what result answers what part of the question if there is any ambiguity. Answer exactly what is asked; you do not get any credit for making up your own questions and answering those. Use the stated procedures. Give exact, cleaned-up, answers where possible.

One book of mathematical tables, such as Schaum’s Mathematical Handbook, may be used, as well as a calculator, and a handwritten letter-size formula sheet. The Laplace tables of the book are attached.

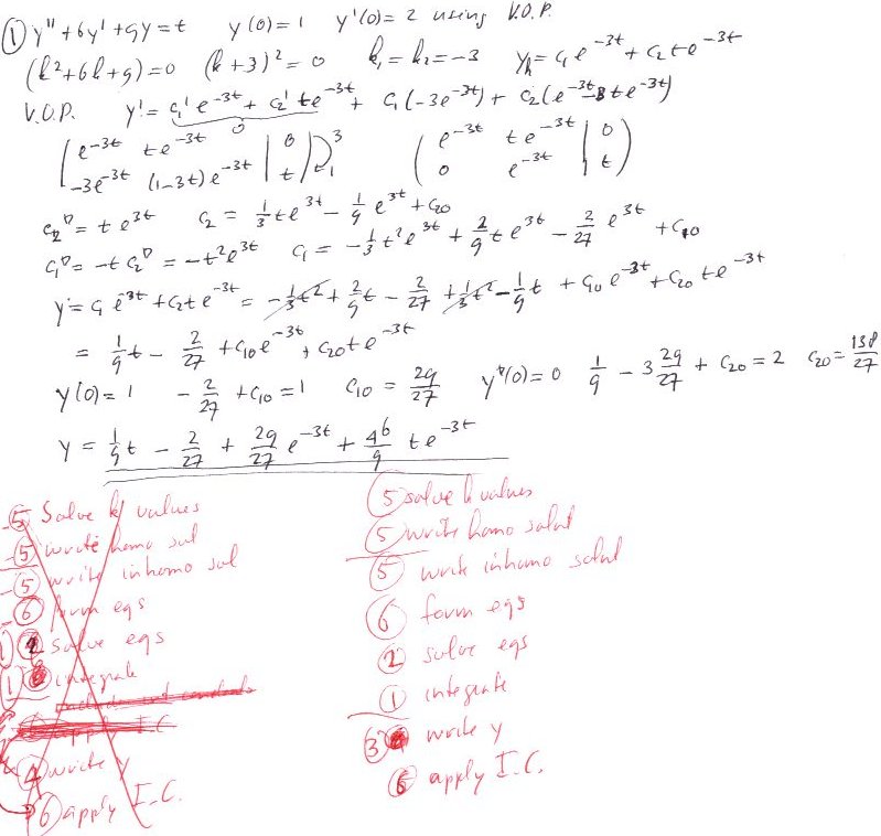
  1. Background: The following problem represents the response of a damped spring mass system to a linearly increasing force.

    Question: Solve

    \begin{displaymath}
y'' + 6 y' + 9 y = t \qquad y(0)=1 \quad y'(0) = 2
\end{displaymath}

    using the class method of variation of parameters. Be sure to show where every intermediate result comes from.

    Solution.

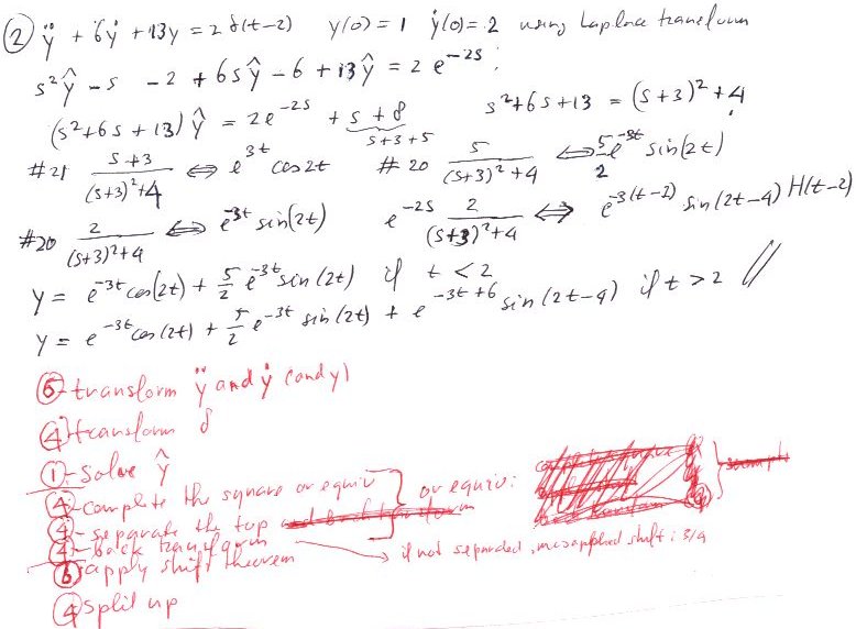
  2. Background: Laplace transforms are a good way to solve dynamical systems, especially when their large-time behavior or stability is of interest.

    Question: Solve

    \begin{displaymath}
y'' + 6 y' + 13 y = 2 \delta(t-2)
\qquad
y(0) = 1\quad y'(0) = 2
\end{displaymath}

    using the class Laplace transform procedures. Make sure there is no funny mathematics in your final answer. It must be phrased in simple terms that the instructor can understand.

    Solution.

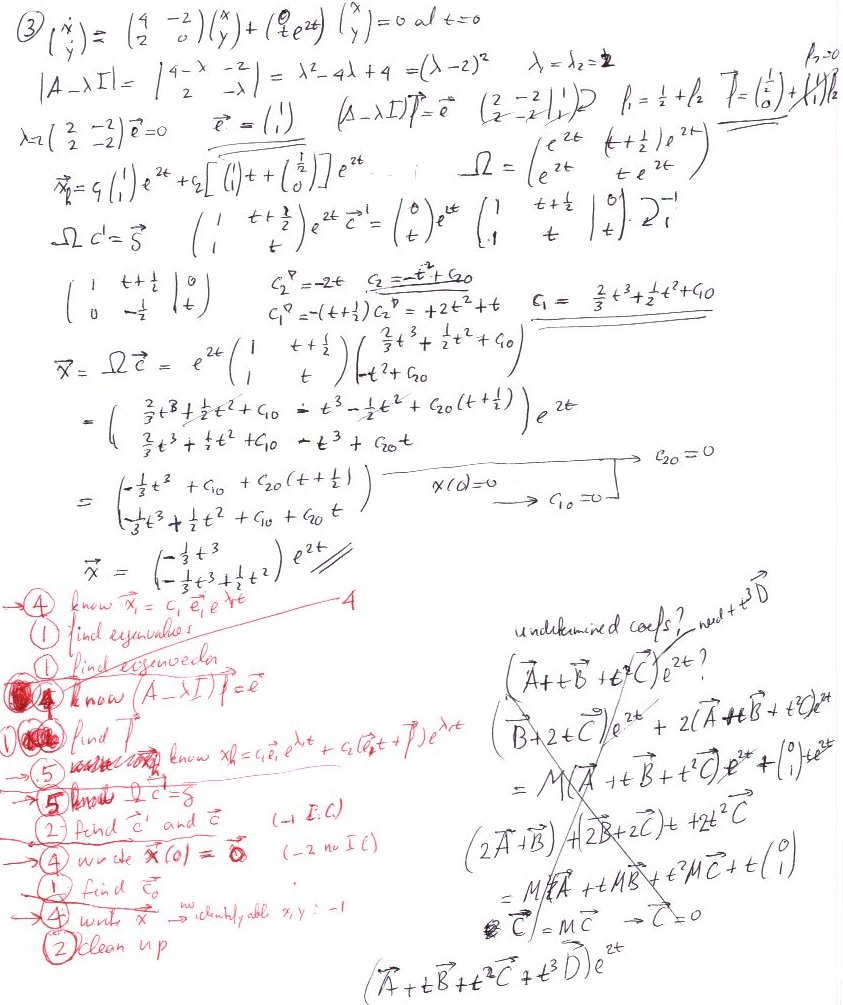
  3. Background: Systems of first order ordinary differential equations can describe the dynamics of any system governed by ordinary differential equations.

    Question: Solve the first order system

    \begin{displaymath}
\frac{{\rm d}}{{\rm d} t} \left(\begin{array}{c} x \\ y \e...
...ft(\begin{array}{c} 0 \\ 0 \end{array}\right)\mbox { at }t=0
\end{displaymath}

    using the class procedures for first order systems. Do not use the matrix exponential method.

    Solution.