EML 5060 Analysis in Mechanical Engineering 9/23/09
Closed book Van Dommelen 11:50-12:40 pm

Solutions should be fully derived showing all intermediate results, using class procedures. Show all reasoning. Bare answers are absolutely not acceptable, because I will assume they come from your calculator (or the math handbook, sometimes,) instead of from you. You must state what result answers what part of the question if there is any ambiguity. Answer exactly what is asked; you do not get any credit for making up your own questions and answering those. Use the stated procedures. Give exact, cleaned-up, answers where possible.

One book of mathematical tables, such as Schaum's Mathematical Handbook, may be used, as well as a calculator, and a handwritten letter-size formula sheet.

  1. Background: Graphical depiction of a function is often an essential part to understand its properties.

    Question: Analyze and very neatly graph

    \begin{displaymath}
y=\frac{x^3}{x^2-1}
\end{displaymath}

    Discuss $x$ and $y$ intercepts and extents, horizontal, oblique and vertical asymptotes, symmetries, local and global maxima and minima, kinks, cusps, horizontal and vertical slopes. Given that there is only one inflection point in the curve, where is it?

    Solution.

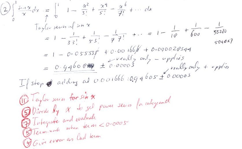
  2. Background: Some functions cannot be evaluated in terms of elementary functions and numerical techniques must be used.

    Question: Derive the value of

    \begin{displaymath}
\int_0^1 \frac{\sin x}{x} \,{\rm d}x
\end{displaymath}

    Terminate evaluating terms as soon as you have ensured an error of no more than 0.0005. Give the best possible estimate for what is the precise error in you answer at that time.

    Solution.

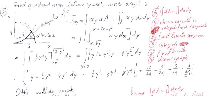
  3. Background: Moments of inertia are key to fields like dynamics and hydrostatics.

    Question: Evaluate

    \begin{displaymath}
- I_{xy} = \int xy \,{\rm d}A
\end{displaymath}

    over the first quadrant area below the parabola $y=x^2$ and inside the circle $x^2+y^2=2$ that intersects the parabola at (1,1). Make a very neat graph of the region of integration.

    Solution.