EML 5060 Analysis in Mechanical Engineering 10/30/09
Closed book Van Dommelen 11:50-12:40 pm

Solutions should be fully derived showing all intermediate results, using class procedures. Show all reasoning. Bare answers are absolutely not acceptable, because I will assume they come from your calculator (or the math handbook, sometimes,) instead of from you. You must state what result answers what part of the question if there is any ambiguity. Answer exactly what is asked; you do not get any credit for making up your own questions and answering those. Use the stated procedures. Give exact, cleaned-up, answers where possible.

You must use the systematic procedures described in class, not mess around randomly until you get some answer. Geometry must be done using vector operations. Use standard matrix methods to determine linear independence and simplified bases of vector spaces. You need to reduce matrices to echelon form where elimination is called for, using the basic row operations and following the class procedures exactly. Do not take shortcuts. Do not reduce further if there is no need. Eigenvalues must be found using minors only. Eigenvectors must be found by identifying the basis vectors of the appropriate null space if there are multiple eigenvalues, using the appropriate procedures. Eigenvectors to symmetric matrices must be orthonormal. Higher matrix powers and polynomials must be found through transformation, not crunching. Inverses must be found the quick way, where possible.

One book of mathematical tables, such as Schaum’s Mathematical Handbook, may be used, as well as a calculator, and a handwritten letter-size formula sheet.

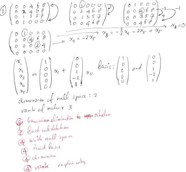
  1. Background: Finding the possible internal stress fields in structures requires finding the null space of the matrix of the governing equilibrium equations.

    Question: (33%) For the matrix

    \begin{displaymath}
M = \left(
\begin{array}{ccccc}
0 & 0 & 4 & 6 & 8 \\
0 ...
...0 & 1 & 3 & 5 & 7 \\
0 & 1 & 0 & 0 & 0
\end{array} \right)
\end{displaymath}

    (a) find the null space, (b) find a basis for the null space, (c) find the dimension of the null space, (d) find the rank. Identify what is what.

    Solution.

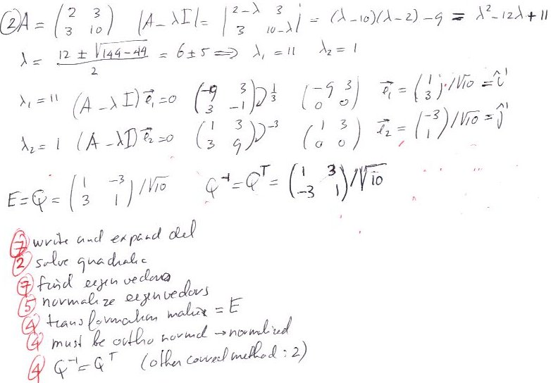
  2. Background: (33%) The matrix below will also be used in question 3, so don’t make mistakes:

    Question: Find an orthonormal transformation matrix that diagonalizes the matrix

    \begin{displaymath}
A =
\left(
\begin{array}{cc}
2 & 3 \\
3 &10
\end{array} \right)
\end{displaymath}

    Find the inverse of the transformation matrix. Be sure to use the class procedures for a matrix of the type of $A$.

    Solution.

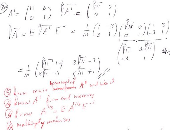
  3. Background: Transformations as the one above are very useful in simplifying complex tasks, like finding powers of matrices and analyzing the transition to instability of dynamical systems.

    Question: For the matrix $A$ given in question 2:

    1. (17%) Find a cube root of the matrix. Solution.
    2. (17%) Accurately draw the quadratic curve $\vec{x}^TA\vec{x}=1$. Show angles and intercepts to scale the curve properly.

      Then in separate graphs sketch the corresponding curves for

      \begin{displaymath}
A_2 =
\left(
\begin{array}{cc}
1 & 3 \\
3 & 9
\end{ar...
...ft(
\begin{array}{cc}
0 & 3 \\
3 & 8
\end{array} \right)
\end{displaymath}

      This requires very little additional work, since they have the same eigenvectors as $A$. However, $A_2$ has eigenvalues that are 1 less than those of $A$, while the eigenvalues of $A_3$ are 2 less than those of $A$ Solution.