EML 5060 Analysis in Mechanical Engineering 12/10/10
Closed book Van Dommelen 7:30-9:30 am

Solutions should be fully derived showing all intermediate results, using class procedures. Show all reasoning. Bare answers are absolutely not acceptable, because I will assume they come from your calculator (or the math handbook, sometimes,) instead of from you. You must state what result answers what part of the question if there is any ambiguity. Answer exactly what is asked; you do not get any credit for making up your own questions and answering those. Use the stated procedures. Give exact, cleaned-up, answers where possible.

One book of mathematical tables, such as Schaum’s Mathematical Handbook, may be used, as well as a calculator, and a handwritten letter-size formula sheet. Table 3.1 of the book is attached. In the Laplace transform question, everything not in Table 3.1 must be derived. The convolution theorem is an exception, but this theorem should only be used if absolutely unavoidable.

  1. Background: Damped spring mass systems are the simplest model for the typical dynamical problems in mechanical engineering.

    Question: Solve

    \begin{displaymath}
y'' + 4 y' + 8 y = 16 t + 13 B e^t \qquad y(0)=y_0 \quad y'(0)=y_0'
\end{displaymath}

    where $B$, $y_0$, and $y_0'$ are given constants. Use the method of undetermined coefficients.

    Be sure to show where every intermediate result comes from.

    Solution.

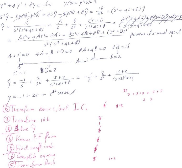
  2. Background: Laplace transforms are a good way to solve dynamical systems, especially when their large-time behavior or stability is of interest.

    Question: Solve

    \begin{displaymath}
y'' + 4 y' + 8 y = 16 t \qquad y(0)=0 \quad y'(0)=0
\end{displaymath}

    using the class Laplace transform procedures.

    You can only use the transforms in the supplied Table 3.1. Anything else must be derived.

    Solution.

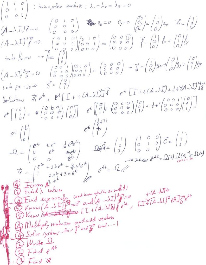
  3. Background: Systems of first order ordinary differential equations can describe the dynamics of any system governed by ordinary differential equations.

    Question: Solve the first order system

    \begin{displaymath}
\dot x = x + y \quad \dot y = y + z \quad \dot z = z
\qquad
x(0)=1 \quad y(0)=2 \quad z(0) = 3
\end{displaymath}

    using the class procedures for first order systems. (Yes, it can easily be solved directly, but that gets no credit.) Use the matrix exponential method. Write the fundamental matrix $\Omega$ of the system, the matrix $e^{At}$, and the vector $(x,y,z)$.

    Be sure to show where every intermediate result comes from.

    Solution.