EML 5060 Analysis in Mechanical Engineering 9/22/10
Closed book Van Dommelen 11:50-12:40 pm

Solutions should be fully derived showing all intermediate results, using class procedures. Show all reasoning. Bare answers are absolutely not acceptable, because I will assume they come from your calculator (or the math handbook, sometimes,) instead of from you. You must state what result answers what part of the question if there is any ambiguity. Answer exactly what is asked; you do not get any credit for making up your own questions and answering those. Use the stated procedures. Give exact, cleaned-up, answers where possible.

One book of mathematical tables, such as Schaum's Mathematical Handbook, may be used, as well as a calculator, and a handwritten letter-size formula sheet.

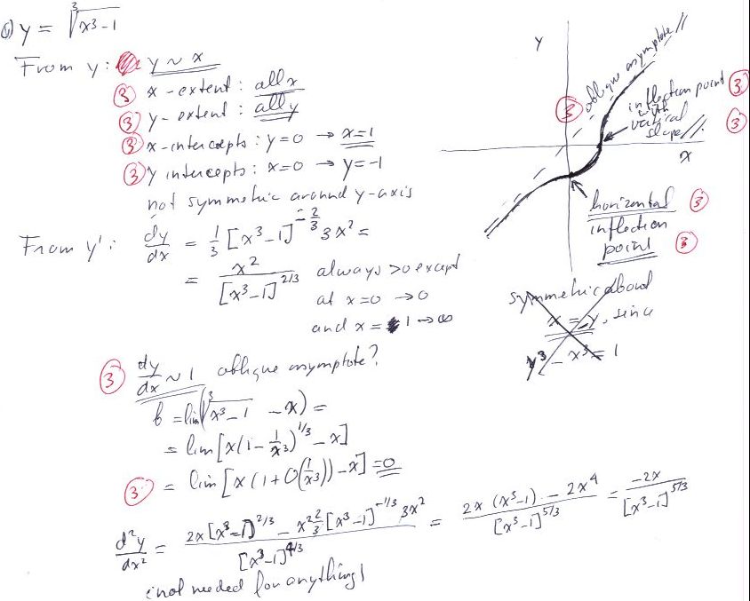
  1. Background: Graphical depiction of a function is often an essential part to understand its properties.

    Question: Analyze and very neatly graph

    \begin{displaymath}
y=\sqrt[3]{x^3-1}
\end{displaymath}

    Discuss $x$ and $y$ intercepts and extents, horizontal, oblique and vertical asymptotes, symmetries, local and global maxima and minima, kinks, cusps, horizontal and vertical slopes. Given that there are only two inflection points in the curve, where are they?

    Solution.

  2. Background: Finding optimal solutions is what practical engineering is all about.


    \begin{picture}(400,110)(-200,0)
% put(-200,0)\{ framebox(400,110)\{\}\}
\put(...
...00,52){\makebox(0,0)[t]{$x$}}
\put(-2,100){\makebox(0,0)[r]{$y$}}
\end{picture}

    Question: Find the isosceles triangle of largest area that can be inscribed inside the ellipse

    \begin{displaymath}
x^2 + 4 y^2 = 4
\end{displaymath}

    and that has its unequal side parallel to the $x$-axis.

    Solution.

  3. Background: Often, the value of functions at special points must be found using limits.

    Question: Evaluate

    \begin{displaymath}
\lim_{x\to 0} \frac{1 + x - e^x}{\sin^2 x}
\end{displaymath}

    Solution.