EML 5060 Analysis in Mechanical Engineering 10/29/10
Closed book Van Dommelen 11:50-12:40 pm

Solutions should be fully derived showing all intermediate results, using class procedures. Show all reasoning. Bare answers are absolutely not acceptable, because I will assume they come from your calculator (or the math handbook, sometimes,) instead of from you. You must state what result answers what part of the question if there is any ambiguity. Answer exactly what is asked; you do not get any credit for making up your own questions and answering those. Use the stated procedures. Give exact, cleaned-up, answers where possible.

You must use the systematic procedures described in class, not mess around randomly until you get some answer. Geometry must be done using vector operations. Use standard matrix methods to determine linear independence and simplified bases of vector spaces. You need to reduce matrices to echelon form where elimination is called for, using the basic row operations and following the class procedures exactly. Do not take shortcuts. Do not reduce further if there is no need. Avoid fractions where possible. Eigenvalues must be found using minors only. Eigenvectors must be found by identifying the basis vectors of the appropriate null space if there are multiple eigenvalues, using the appropriate procedures. Eigenvectors to symmetric matrices must be orthonormal. Higher matrix powers and polynomials must be found through transformation, not crunching. Inverses must be found the quick way, where possible.

One book of mathematical tables, such as Schaum’s Mathematical Handbook, may be used, as well as a calculator, and a handwritten letter-size formula sheet.

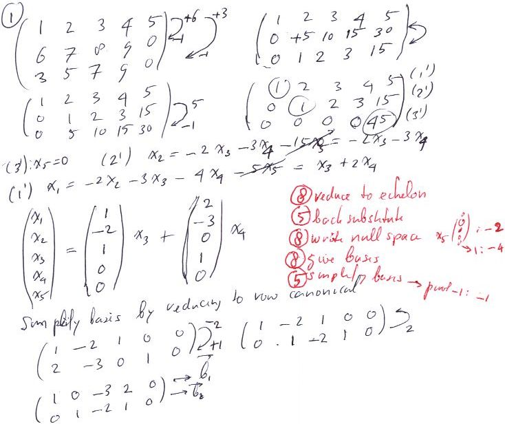
  1. Background: Null spaces can describe such things as internal forces in trusses.

    Question: (34%) Using class procedures find the null space of the matrix:

    \begin{displaymath}
\left(
\begin{array}{ccccc}
1 & 2 & 3 & 4 & 5 \\
6 & 7 & 8 & 9 & 0 \\
3 & 5 & 7 & 9 & 0
\end{array} \right)
\end{displaymath}

    Find a basis to the null space and simplify it using class procedures.

    Solution.

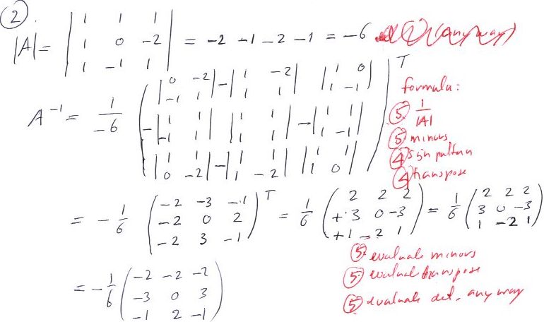
  2. Background: To find inverses for small matrices, minors are often useful.

    Question: (33%) Using minors only, find the inverse of the orthogonal, but not orthonormal, matrix

    \begin{displaymath}
\left(
\begin{array}{rrr}
1 & 1 & 1 \\
1 & 0 &-2 \\
1 &-1 & 1
\end{array} \right)
\end{displaymath}

    Solution.

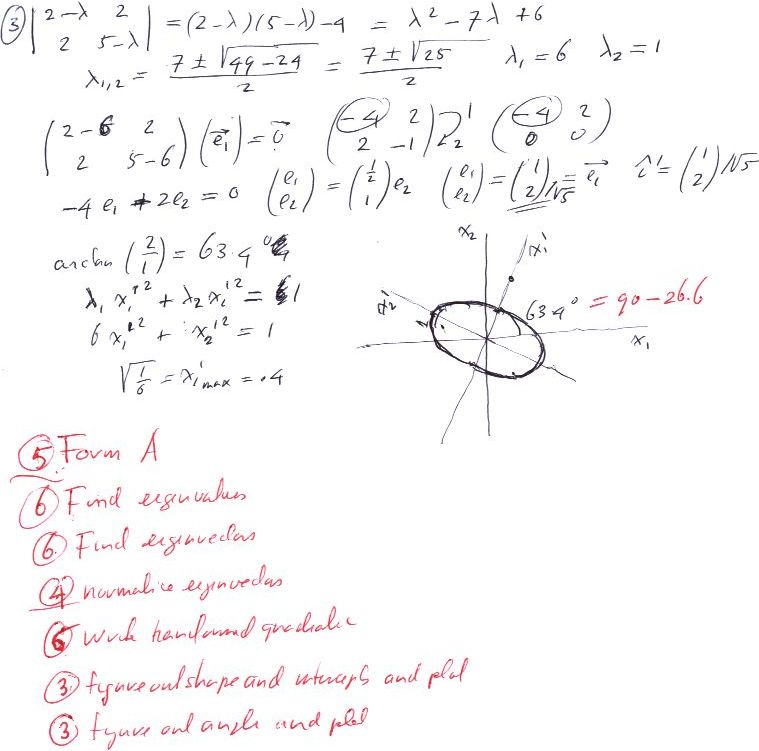
  3. Background: Quadratic forms commonly arise from systems that are linearized for small displacements from equilibrium.

    Question: (33%) Using class procedures, analyze and very accurately draw:

    \begin{displaymath}
2 x^2 + 4 xy + 5 y^2 = 1
\end{displaymath}

    Identify all angles in the graph. Show the location of 1 on your axes.

    Solution.