EML 5060 Analysis in Mechanical Engineering 12/12/14
Closed book Van Dommelen 10-12 noon

Solutions should be fully derived showing all intermediate results, using class procedures. Show all reasoning. Bare answers are absolutely not acceptable, because I will assume they come from your calculator (or the math handbook, sometimes,) instead of from you. You must state what result answers what part of the question. Answer exactly what is asked; you do not get any credit for making up your own questions and answering those. Use the stated procedures. Give exact, fully simplified, answers where possible.

One book of mathematical tables, such as Schaum's Mathematical Handbook, may be used, as well as a calculator, and a handwritten letter-size formula sheet.

  1. Background: To understand the topology of a flow, and in particular where the fluid goes, the behavior of the streamlines near the stagnation points must be studied.

    Question: The streamlines near a double stagnation point in an ideal two-dimensional flow are given by

    \begin{displaymath}
\frac{{\rm d}y}{{\rm d}x} = \frac{x^2-y^2}{2xy}
\end{displaymath}

    Solve this equation using the class procedure for this type of equation. Neatly and accurately draw the solution lines for the case that the appropriate integration constant is zero. Use a different color for the solution lines, or fatten them.

    Solution.

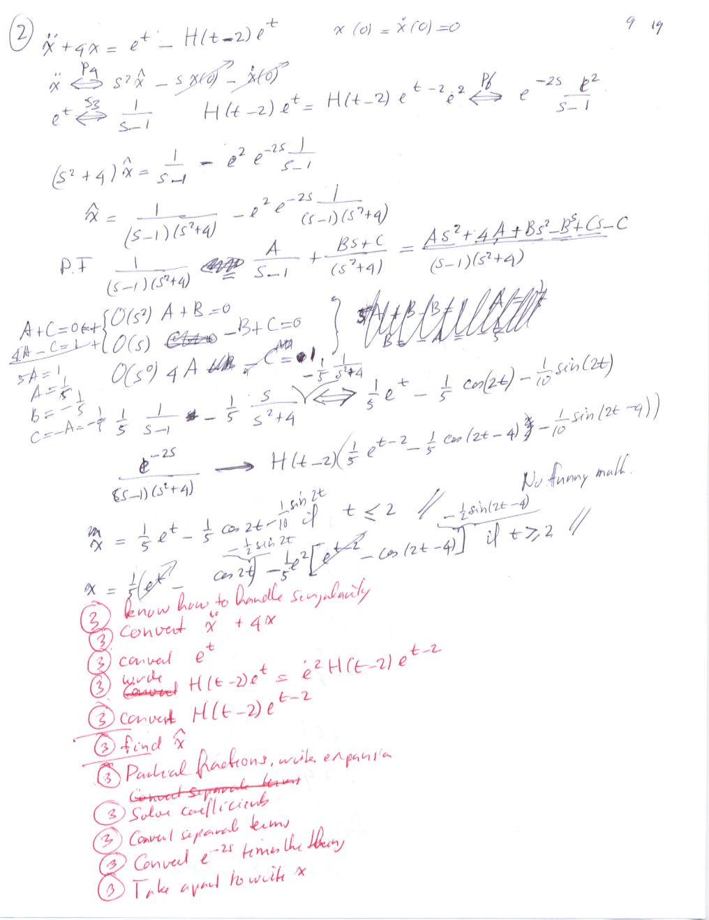
  2. Background: The Laplace transform is a primary way to study the stability and evolution of linearized dynamical systems, because it turns them into algebraic systems.

    Question: Consider the response of the following frictionless spring-mass system that experiences a forcing for a limited time:

    \begin{displaymath}
\ddot x + 4 x = F(t)
\qquad
x(0) = \dot x(0) = 0
\qquad
...
...} e^t\mbox{ for }0<t<2 \ 0\mbox{ for }t>2\end{array} \right.
\end{displaymath}

    Find the evolution using the Laplace transform. There may be no funny functions in your answer; it should be phrased so that anyone can understand it.

    A table of Laplace transforms is attached. Everything not in this table must be fully derived showing all reasoning. The convolution theorem may only be used where it is absolutely unavoidable. Do not use any complex numbers in your analysis (besides $s$.)

    Solution.

  3. Background: While nonlinear systems of differential equations are usually not analytically solvable, their qualitative behavior can be understood by analyzing their critical points (and behavior at infinity).

    Question: Consider the equation for a pendulum that experiences both laminar and turbulent damping:

    \begin{displaymath}
\ddot\vartheta + 6\dot\vartheta + 8\dot\vartheta^2 + 9\sin(\vartheta) = 0
\end{displaymath}

    Write this equation as a first order system. Then explain why near equilibrium, $\vartheta=\dot\vartheta=0$, small perturbations are governed by

    \begin{displaymath}
\left(\begin{array}{c} \dot x_1 \\ \dot x_2 \end{array}\rig...
...\right)
\left(\begin{array}{c} x_1 \\ x_2 \end{array}\right)
\end{displaymath}

    Solve the above linearized system using the class procedures for first order systems. Draw the solution curves in the $x,y$-plane very neatly and quantitatively reasonably accurately. You should have 2 examples of each different type of curve, or 1 if there is just one curve of that type. Be sure to put an arrow in the direction of motion on each curve. Make sure that you check your algebra carefully. You do not get credit for making the wrong graph.

    Finally, can we be confident that the shape of the solution lines of the nonlinear system will be approximately the same, if we are close enough to equilibrium? Why/why not?

    Solution.


Table 1: Properties of the Laplace Transform. ($k,\tau,\omega>0$, $n=1,2,\ldots$)

\begin{picture}(402,593)(1,0)
% put(1,0)\{ framebox(402,593)\{\}\}
\put(0,295){\...
...u)$ &
$\displaystyle e^{-\tau s}$ \\
\hline
\end{tabular*}}}
\end{picture}