EML 5060 Analysis in Mechanical Engineering 11/05/14
Closed book Van Dommelen 12:30-1:20 pm

Solutions should be fully derived showing all intermediate results, using class procedures. Show all reasoning. Bare answers are absolutely not acceptable, because I will assume they come from your calculator (or the math handbook, sometimes,) instead of from you. You must state what result answers what part of the question. Answer exactly what is asked; you do not get any credit for making up your own questions and answering those. Use the stated procedures. Give exact, fully simplified, answers where possible.

You must use the systematic procedures described in class, not mess around randomly until you get some answer. Eigenvalues must be found using minors only. Eigenvectors must be found by identifying the basis vectors of the appropriate null space if there are multiple eigenvalues. Eigenvectors to symmetric matrices must be orthonormal. If there is a quick way to do something, you must do it.

One book of mathematical tables, such as Schaum's Mathematical Handbook, may be used, as well as a calculator, and a handwritten letter-size formula sheet.

  1. Background: Statically underdetermined systems are common in structural engineering. Studying the rank, row, column, and null spaces of the corresponding matrix can give you insight into the nature of the indeterminacy.

    Question: Reduce the matrix

    \begin{displaymath}
A =
\left\vert
\begin{array}{ccccccc}
0 & 3 & 6 & 5 & 4 ...
...5 & 0 \\
0 & 2 & 4 & 8 &12 &16 & 0
\end{array} \right\vert
\end{displaymath}

    to class echelon form (not canonical), strictly following class procedures only. Avoid fractions but use only partial pivoting to achieve that. Check your work carefully so that you can correctly answer the following questions: (a) What is the rank? (b) What is the dimension of the row space? (c) What is the dimension of the column space? (d) What is the dimension of the null space? (e) After some further manipulation, what is the most simplified basis of the null space?

    Solution.

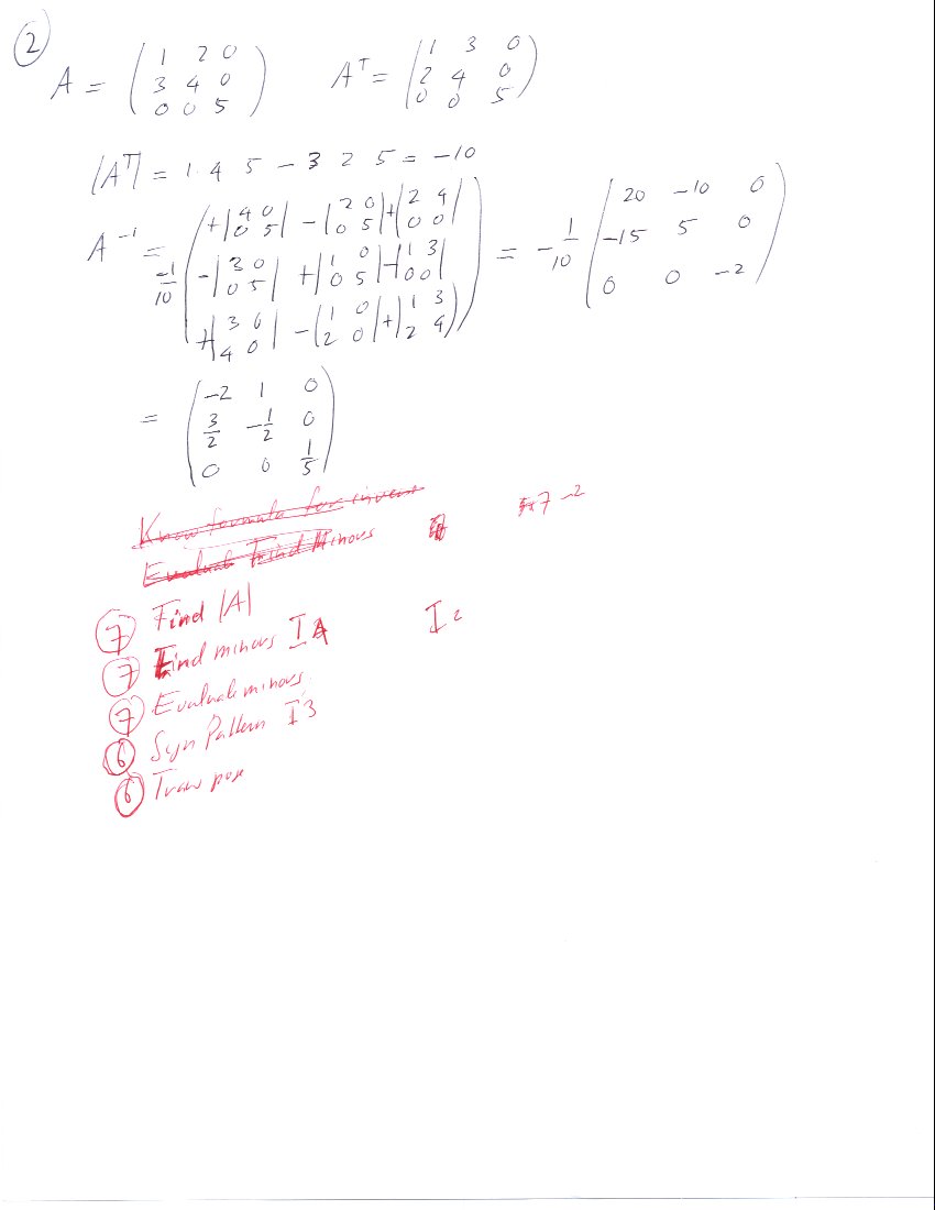
  2. Background: For analytical purposes, sometimes an inverse of a matrix is desirable. If the matrix is small, minors may be the most convenient way to find it.

    Question: Find, using minors, without any row (or column) operations, the inverse of

    \begin{displaymath}
A =
\left\vert
\begin{array}{ccc}
1 & 2 & 0 \\
3 & 4 & 0 \\
0 & 0 & 5
\end{array} \right\vert
\end{displaymath}

    Solution.

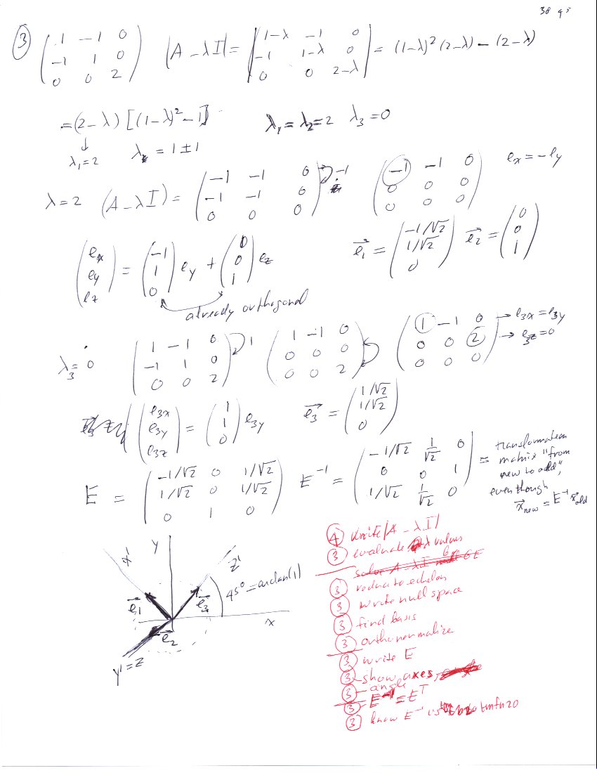
  3. Background: Matrix diagonalization is one of the most important tricks in physics and engineering, from analyzing stress fields, solid body dynamics, to finding quantized quantities.

    Question: Using class procedures, find the transformation matrix that reduces the matrix

    \begin{displaymath}
A =
\left\vert
\begin{array}{ccc}
1 &-1 & 0 \\
-1 & 1 & 0 \\
0 & 0 & 2
\end{array} \right\vert
\end{displaymath}

    to diagonal form. Note: put the eigenvalues in order from largest to smallest. Neatly draw the original $x,y,z$ coordinate system, with the $z$-axis coming toward you. In the same drawing, also show the labelled new $x',y',z'$ axis system in which the matrix is diagonal, and indicate the value of the appropriate rotation angle(s). Finally, give the “transformation matrix from new to old.”

    Solution.