EML 5060 Analysis in Mechanical Engineering 11/06/15
Closed book Van Dommelen 12:30-1:20 pm

Solutions should be fully derived showing all intermediate results, using class procedures. Show all reasoning. Bare answers are absolutely not acceptable, because I will assume they come from your calculator (or the math handbook, sometimes,) instead of from you. You must state what result answers what part of the question. Answer exactly what is asked; you do not get any credit for making up your own questions and answering those. Use the stated procedures. Give exact, fully simplified, answers.

You must use the systematic procedures described in class, not mess around randomly until you get some answer. Echelon form is defined as in the lecture notes, not as in the book. Eigenvalues must be found using minors only. Eigenvectors must be found by identifying the basis vectors of the appropriate null space. Eigenvectors to symmetric matrices must be orthonormal. If there is a quick way to do something, you must do it.

One book of mathematical tables, such as Schaum's Mathematical Handbook, may be used, as well as a calculator, and a handwritten letter-size formula sheet.

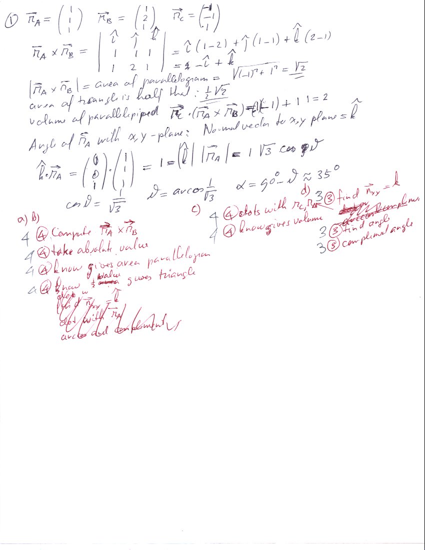
  1. Background: Vector analysis is often the most easy, systematic, and reliable way to figure out geometric problems.

    Question: Given the position vectors from the origin $O$:

    \begin{displaymath}
\vec r_A = \left( \begin{array}{c} 1 \\ 1 \\ 1 \end{array} ...
..._C = \left( \begin{array}{c}-1 \\ -1 \\ 1 \end{array} \right)
\end{displaymath}

    Find
    1. the area of the parallelogram with sides $\vec{r}_A$ and $\vec{r}_B$;
    2. the area of the triangle with sides $\vec{r}_A$ and $\vec{r}_B$;
    3. the volume of the parallelepiped with sides $\vec{r}_A$, $\vec{r}_B$, and $\vec{r}_C$;
    4. the angle between vector $\vec{r}_A$ and the $x,y$-plane.
    Use vector analysis only, including the appropriate vector products. (Do not use trig, say.)

    Solution.

  2. Background: Library LU decomposition subroutines are typically intended for determinate square systems of equations. If you want to study the possible solutions of indeterminate systems, you may want to write your own LU decomposition subroutine.

    Question: Given the matrix

    \begin{displaymath}
A =
\left(
\begin{array}{cccccc}
0 & 1 & 3 & 1 & 2 & 1 \...
...6 & 8 & 7 & 6 \\
0 & 3 & 9 & 5 & 7 & 4
\end{array} \right)
\end{displaymath}

    1. Reduce this matrix to echelon form, as defined in your notes. Avoid fractions, but use only partial pivoting to achieve that. Do not multiply the original equations by a non unit factor.
    2. From the echelon matrix, find the null space.
    3. Show that a lower triangular square matrix $L$ of multipliers times the echelon matrix produces a partial pivoted version of matrix $A$.
    Use class procedures only.

    Solution.

  3. Background: To analyze the stability of dynamical systems, you may want to look at their potential energy under small deflections, which is a quadratic form.

    Question: Analyze the quadratic curve

    \begin{displaymath}
7 x^2 + 6xy - y^2 + 8 = 0
\end{displaymath}

    using the class procedure of coordinate system rotation. Very, very neatly draw the curve and rotated coordinates in the $x,y$ plane. Clearly indicate all angles and relevant intercepts, with their values.

    Solution.