EML 5060 Analysis in Mechanical Engineering 9/28/16
Closed book Van Dommelen 12:30-1:20 pm

Solutions should be fully derived showing all intermediate results, using class procedures. Show all reasoning. Bare answers are absolutely not acceptable, because I will assume they come from your calculator (or the math handbook, sometimes,) instead of from you. You must state what result answers what part of the question. Answer exactly what is asked; you do not get any credit for making up your own questions and answering those. Use the stated procedures. Give exact, fully simplified, answers where possible.

One book of mathematical tables, such as Schaum's Mathematical Handbook, may be used, as well as a calculator, and a handwritten letter-size formula sheet.

  1. Background: Graphical depiction of a function is often an essential part to understand its properties.

    Question: Analyze and very neatly graph

    \begin{displaymath}
y=\frac{x^2}{x+2}
\end{displaymath}

    Show that $y''=8/(x+2)^3$. Discuss $x$ and $y$ intercepts and extents, asymptotic behavior for large positive $x$ and large negative $x$, horizontal, oblique and vertical asymptotes, symmetries, local and global maxima and minima, concavity, inflection points, kinks, cusps, horizontal and vertical slopes and other singularities. Draw the function very neatly, on suitably labelled axes, clearly showing all features.

    Solution.

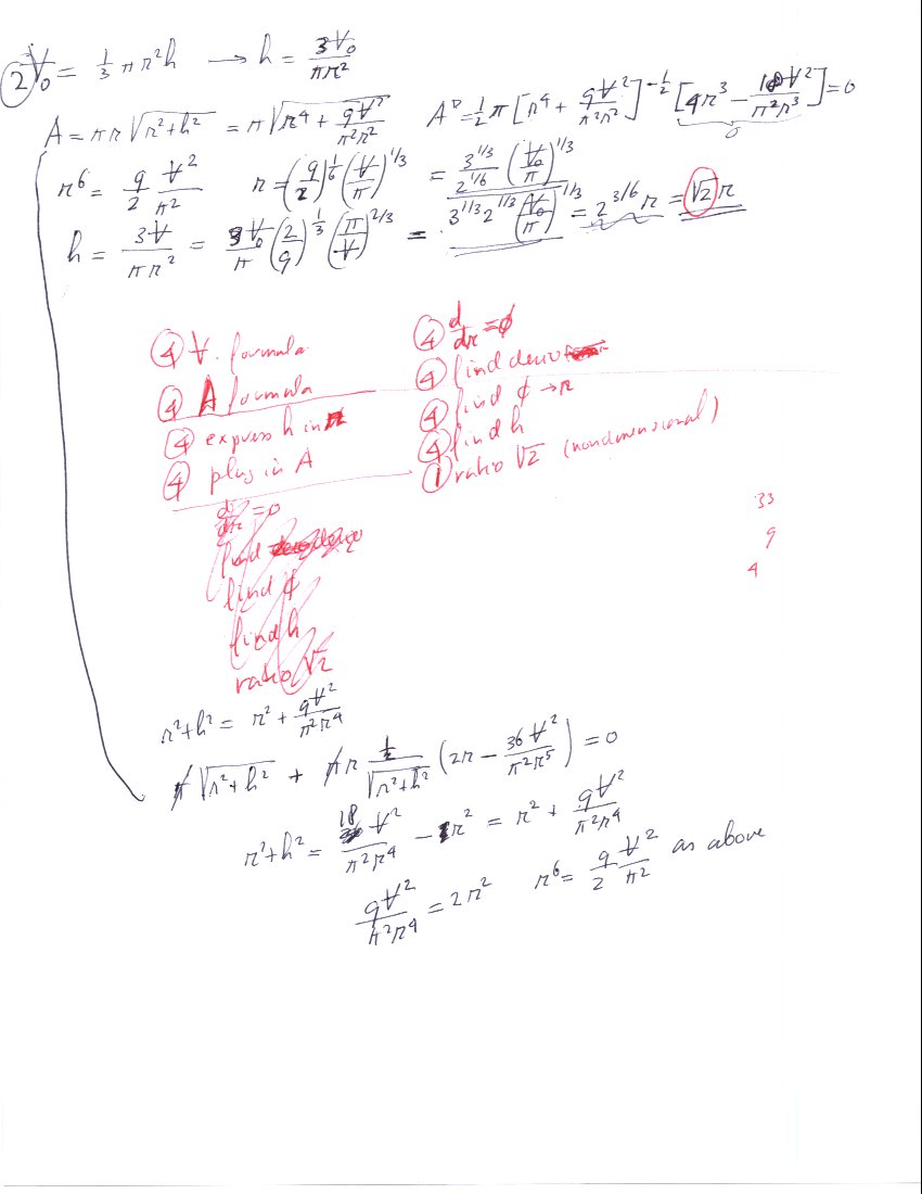
  2. Background: Optimization is one of the most common tasks of a mechanical engineer, whether in industry or in academia.

    Question: Derive the dimensions (height and bottom radius) of a conical tent of a volume at least equal to $V_0$ that requires the least cloth area (in the conical surface). What is the ratio of height over radius?

    Solution.

  3. Background: Areas of plates are important for such diverse purposes as weight, cost, resistance, etcetera.

    Question: In polar coordinates $(r,\theta)$, consider the region $R$ inside the right half plane $-\frac12\pi\le\theta\le\frac12\pi$ that has boundary $r^2=\cos(2\theta)$. Sketch this region in the $x,y$-plane. (Plot $\cos(2\theta)$ versus $\theta$ before doing this and note that only values with $r^2>0$ are possible.) Now find the area of this region, computing the double integral both doing $r$ first and doing $\theta$ first. Of course you should get the same value in either case. Which method is easier? Note: integrate the region as given; do not integrate half of it and multiply by 2.

    Solution.