EML 5060 Analysis in Mechanical Engineering 11/04/16
Closed book Van Dommelen 12:30-1:20 pm

Solutions should be fully derived showing all intermediate results, using class procedures. Show all reasoning. Bare answers are absolutely not acceptable, because I will assume they come from your calculator (or the math handbook, sometimes,) instead of from you. You must state what result answers what part of the question. Answer exactly what is asked; you do not get any credit for making up your own questions and answering those. Use the stated procedures. Give exact, fully simplified, answers.

You must use the systematic procedures described in class, not mess around randomly until you get some answer. Echelon form is defined as in the lecture notes, not as in the book. Eigenvalues must be found using minors only. Eigenvectors must be found by identifying the basis vectors of the appropriate null space. Eigenvectors to symmetric matrices must be orthonormal. If there is a quick way to do something, you must do it.

One book of mathematical tables, such as Schaum's Mathematical Handbook, may be used, as well as a calculator, and a handwritten letter-size formula sheet.

  1. Background:

    Vector analysis of geometry is of importance in many areas of mechanical engineering, including manufacturing, mechanisms and design.

    Question: Find the equation of the line through the point P, (1,2,3), that hits the plane $4x+5y+6z=7$ orthogonally. Give the equation of the line both in vector form and in terms of its $x,y,z$ coordinates only.

    Use vector analysis only, including the appropriate vector products if needed. (Do not use trig, say.)

    Solution.

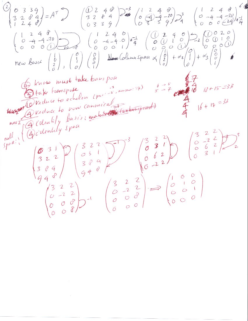
  2. Background: If your truss will only need to support specific types of forces, you may leave out some bars. In that case you can study the force combinations that the struss can still support by finding a simplified basis for the column space of the associated equilibrium matrix.

    Question: Find a simplified basis for the column space of

    \begin{displaymath}
A =
\left(
\begin{array}{ccc}
0 & 3 & 1 \\
3 & 2 & 2 \\
3 & 8 & 4 \\
9 & 4 & 8
\end{array} \right)
\end{displaymath}

    Any reduction to echelon form involved must be strictly according to class procedures and you must avoid fractions in it. List separately the simplified basis of the column space and the simplified column space.

    Solution.

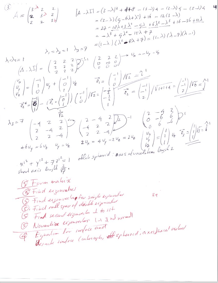
  3. Background: Analyzing quadratic forms appears, for example, in the examination of the elastic behavior of structures.

    Question: As a small example, use class procedures to analyze the quadratic form

    \begin{displaymath}
3 x^2 + 3 y^2 + 3 z^2 + 4 xy + 4 yz + 4 zx = 1
\end{displaymath}

    In particular, describe the shape of the surface, whether it is a surface of revolution, the unit axial vectors of the principal coordinate system, and the intercepts / axis lengths / asymptotic surfaces, whatever applies.

    Solution.