EML 5060 Analysis in Mechanical Engineering I 12/12/17
Closed book Van Dommelen 5:30-7:30 pm

Solutions should be fully derived showing all intermediate results, using class procedures. Show all reasoning. Bare answers are absolutely not acceptable, because I will assume they come from your calculator (or the math handbook, sometimes,) instead of from you. You must state what result answers what part of the question. Answer exactly what is asked; you do not get any credit for making up your own questions and answering those. Use the stated procedures. Give exact, fully simplified, answers.

One book of mathematical tables, such as Schaum's Mathematical Handbook, may be used, as well as a calculator, and a handwritten letter-size formula sheet.

  1. Background: Dynamical systems, even if nonlinear, are typically described by differential equations. First order scalar equations can often be solved exactly.

    Question: As a simple example, solve the nonlinear ordinary differential equation

    \begin{displaymath}
t\frac{{\rm d}x}{{\rm d}t} + x = \frac{1}{x^2}
\end{displaymath}

    using the class procedure for this type of equation. Sketch the solution curves. What happens for large times?

    Solution.

  2. Background: The Laplace transform is a primary way to study the stability and evolution of linearized dynamical systems, because it turns them into algebraic systems.

    Question: Use the Laplace transform to find the generic solution for the following over-damped vibrating system that experiences an unspecified force:

    \begin{displaymath}
y'' + 5 y' + 6 y = F(t) \qquad y(0)=0 \quad y'(0)=1
\end{displaymath}

    A table of Laplace transforms is attached. Everything not in this table must be fully derived showing all reasoning. P1 may not be used, and the convolution theorem only where it is unavoidable. Do not use any complex numbers in your analysis (besides $s$.) You can only use one Laplace transform table entry at each step (except P2), and its table number must be listed. No funny (discontinuous) functions or stars in your answers.

    Solution.

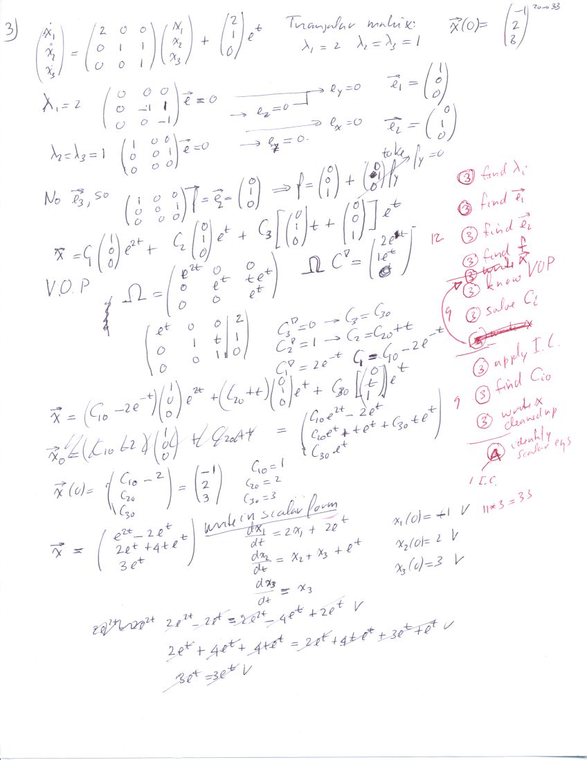
  3. Background: Since any system of differential equations can be reduced to a first order system, all you really need to know is how to solve these systems.

    Question: Solve using the class procedures for systems of ODE, including variation of parameters:

    \begin{displaymath}
\left(\begin{array}{c} \dot x_1 \\ \dot x_2 \\ \dot x_3 \en...
...t)
=
\left(\begin{array}{c} -1 \\ 2 \\ 3 \end{array}\right)
\end{displaymath}

    After solving, write out all individual equations to be satisfied in scalar form and check that your solution satisfies them.

    Solution.


Table 1: Properties of the Laplace Transform. ($k,\tau,\omega>0$, $n=1,2,\ldots$)

\begin{picture}(402,593)(1,0)
% put(1,0)\{ framebox(402,593)\{\}\}
\put(0,295){\...
...u)$ &
$\displaystyle e^{-\tau s}$ \\
\hline
\end{tabular*}}}
\end{picture}