EML 5060 Analysis in Mechanical Engineering 10/6/17
Closed book Van Dommelen 12:30-1:20 pm

Solutions should be fully derived showing all intermediate results, using class procedures. Show all reasoning. Bare answers are absolutely not acceptable, because I will assume they come from your calculator (or the math handbook, sometimes,) instead of from you. You must state what result answers what part of the question. Answer what is asked; you do not get any credit for making up your own questions and answering those. Use the stated procedures. Give exact, fully simplified, answers where possible.

One book of mathematical tables, such as Schaum's Mathematical Handbook, may be used, as well as a calculator, and a handwritten letter-size formula sheet.

  1. Background: Graphical depiction of a function is often an essential part to understand its properties.

    Question: Analyze and very neatly graph

    \begin{displaymath}
y=\frac{x^3}{(x-1)^2}
\end{displaymath}

    Discuss $x$ and $y$ intercepts and extents, asymptotic behavior for large positive $x$ and large negative $x$, horizontal, oblique and vertical asymptotes, symmetries, local and global maxima and minima, kinks, cusps, horizontal and vertical slopes and other singularities. Given that there is only one inflection point in the curve, where is it? And what is the concavity?

    Draw the function very neatly, on suitably labelled axes, clearly showing all features.

    Solution.

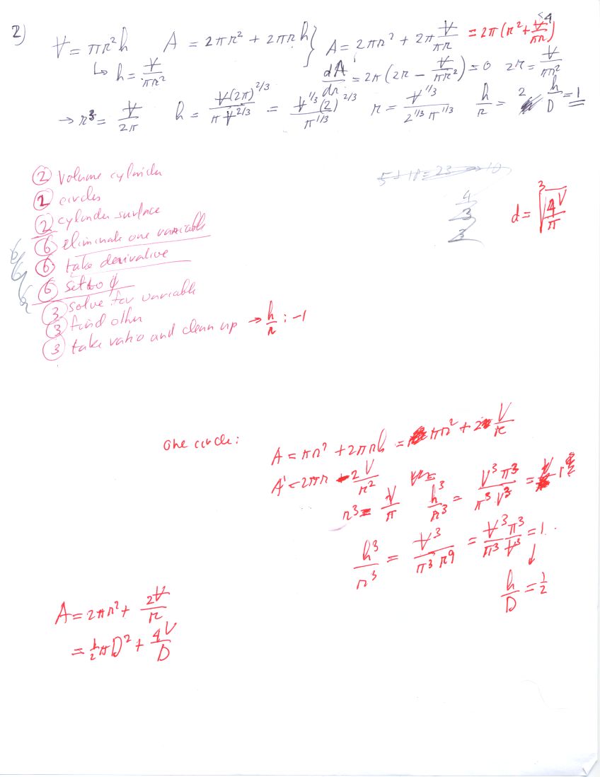
  2. Background: There are various reasons you may want to minimize the surface area of a barrel of given volume. (The barrel is to be taken cylindrical, and the surface area to be taken to be top and bottom circles plus curved surface.) One is to save material cost. Another is to reduce heat conduction.

    Question: Derive the ratio of height to diameter of the barrel that has the smallest total surface area for a given volume.

    Solution.

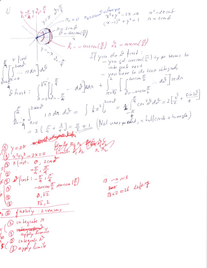
  3. Background: Areas of plates are important if you have an axe to grind with paying for material costs.

    Question: Derive the area of the region below $y=x$, above $y=-x$, and inside $x^2+y^2-2x=0$ by using multiple integration with those limits. Use polar coordinates $r$ and $\theta$ (with the same origin) to do so. Lists the limits of integration, for both $r$ and $\theta$, if you do $r$ first and if you do $\theta$ first. Lists the reasons why one of the two options seems a lot better choice than the other. Then integrate in the preferred way.

    Solution.