EML 5060 Analysis in Mechanical Engineering 11/09/18
Closed book Van Dommelen 12:30-1:20 pm

Solutions should be fully derived showing all intermediate results, using class procedures. Show all reasoning. Bare answers are absolutely not acceptable, because I will assume they come from your calculator (or the math handbook, sometimes,) instead of from you. You must state what result answers what part of the question. Answer what is asked; you do not get any credit for making up your own questions and answering those. Use the stated procedures. Give exact, fully simplified, answers where possible.

You must use the systematic procedures described in class, not mess around randomly until you get some answer. Echelon form is defined as in the lecture notes, not as in the book. Eigenvalues must be found using minors only. Eigenvectors must be found by identifying the basis vectors of the appropriate null space. Eigenvectors of symmetric matrices must be orthonormal. If there is a quick way to do something, you must use it.

One book of mathematical tables, such as Schaum's Mathematical Handbook, may be used, as well as a calculator, and a handwritten letter-size formula sheet.

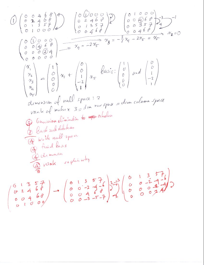
  1. Background: Finding the possible internal stress fields in structures requires finding the null space of the matrix of the governing equilibrium equations.

    Question: For the matrix

    \begin{displaymath}
M = \left(
\begin{array}{ccccc}
0 & 0 & 4 & 6 & 8 \\
0 ...
...0 & 1 & 3 & 5 & 7 \\
0 & 1 & 0 & 0 & 0
\end{array} \right)
\end{displaymath}

    (a) Find the null space. (b) Find a basis for the null space. (c) Find the dimension of the null space. (d) Find the dimension of the row space, the dimension of the column space, and the rank. Explain how you got those values. (Always identify what answers what.)

    Solution.

  2. Background: For purposes such as analyzing natural frequencies, sometimes an analytical expression of a determinant is needed.

    Question: Find, without any row (or column) operations

    \begin{displaymath}
\left\vert
\begin{array}{cccccc}
0 & 0 & 1 & 0 & 0 & 0 \\...
... & 6 & 5 \\
7 & 8 & 9 & 1 & 3 & 2
\end{array} \right\vert
\end{displaymath}

    At every stage, choose the approach that requires the smallest possible number of terms. If you do it correctly, it will be quick.

    Solution.

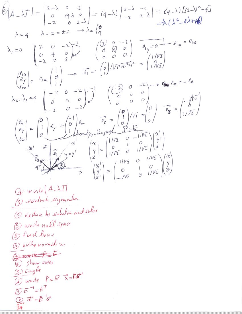
  3. Background: Matrix diagonalization is one of the most important tricks in physics and engineering, from analyzing stress fields, solid body dynamics, to finding quantized quantities.

    Question: Using class procedures, find the transformation matrix that reduces the matrix

    \begin{displaymath}
A =
\left\vert
\begin{array}{ccc}
2 & 0 &-2 \\
0 & 4 & 0 \\
-2 & 0 & 2
\end{array} \right\vert
\end{displaymath}

    to diagonal form. Note: put the eigenvalues in order from smallest to largest. Neatly draw the original $x,y,z$ coordinate system, with the $y$-axis going away from you and $x$ to the right. In that drawing, show the labeled new $x',y',z'$ axis system in which the matrix is diagonal, and indicate the value of the appropriate rotation angle(s). Finally, give the “transformation matrix from new to old,” and the expressions for $x,y,z$ in terms of $x',y',z'$ and vice-versa.

    Solution.