EML 5060 Analysis in Mechanical Engineering 09/27/19
Closed book Van Dommelen 12:30-1:20 pm

Solutions should be fully derived showing all intermediate results, using class procedures. Show all reasoning. Bare answers are absolutely not acceptable, because I will assume they come from your calculator (or the math handbook, sometimes,) instead of from you. You must state what result answers what part of the question. Answer what is asked; you do not get any credit for making up your own questions and answering those. Ask if clarification of what is asked is needed. Use the stated procedures. Give exact, fully simplified, answers where possible.

One book of mathematical tables, such as Schaum's Mathematical Handbook, may be used, as well as a calculator, and a handwritten letter-size formula sheet.

  1. Background: Graphical depiction of a function is often an essential part to understand its properties.

    Question: Analyze and very neatly graph

    \begin{displaymath}
y=\frac{x^2-4x}{\sqrt{x^2-1}} \qquad \Longrightarrow\quad
...
...2 y}{{\rm d}x^2} = \frac{x^2-12x+2}{\left(x^2-1\right)^{7/2}}
\end{displaymath}

    To keep it simpler, restrict yourself to $x\ge0$. If you find the first derivative correctly, the numerator should be a cubic with a root $x=-2$. Discuss $x$ and $y$ intercepts and extents, asymptotic behavior for large positive $x$, horizontal, oblique and vertical asymptotes, local and global maxima and minima, concavity, inflection points, kinks, cusps, vertical slopes and other singularities.

    Draw the function very neatly and precisely, on suitably labelled axes, clearly showing all features.

    Solution.

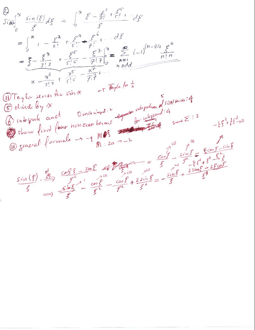
  2. Background: Sometimes you may need to evaluate a function for which no library function is readily available. A Taylor series may then be convenient.

    Question: The sine integral ${\rm {Si}}(x)$ is the function which is zero at $x=0$ and whose derivative is the sinc function $\sin(x)/x$. In other words,

    \begin{displaymath}
{\rm {Si}}(x) = \int_0^x \frac{\sin\xi}{\xi} \,{\rm d}\xi
\end{displaymath}

    Write the Maclaurin series for ${\rm {Si}}(x)$ by writing the Maclaurin series for the integrand in the integral above and then integrating that. Write both the first four nonzero terms in the series explicitly, as well as all infinitely many terms, the latter by using a summation symbol.

    Solution.

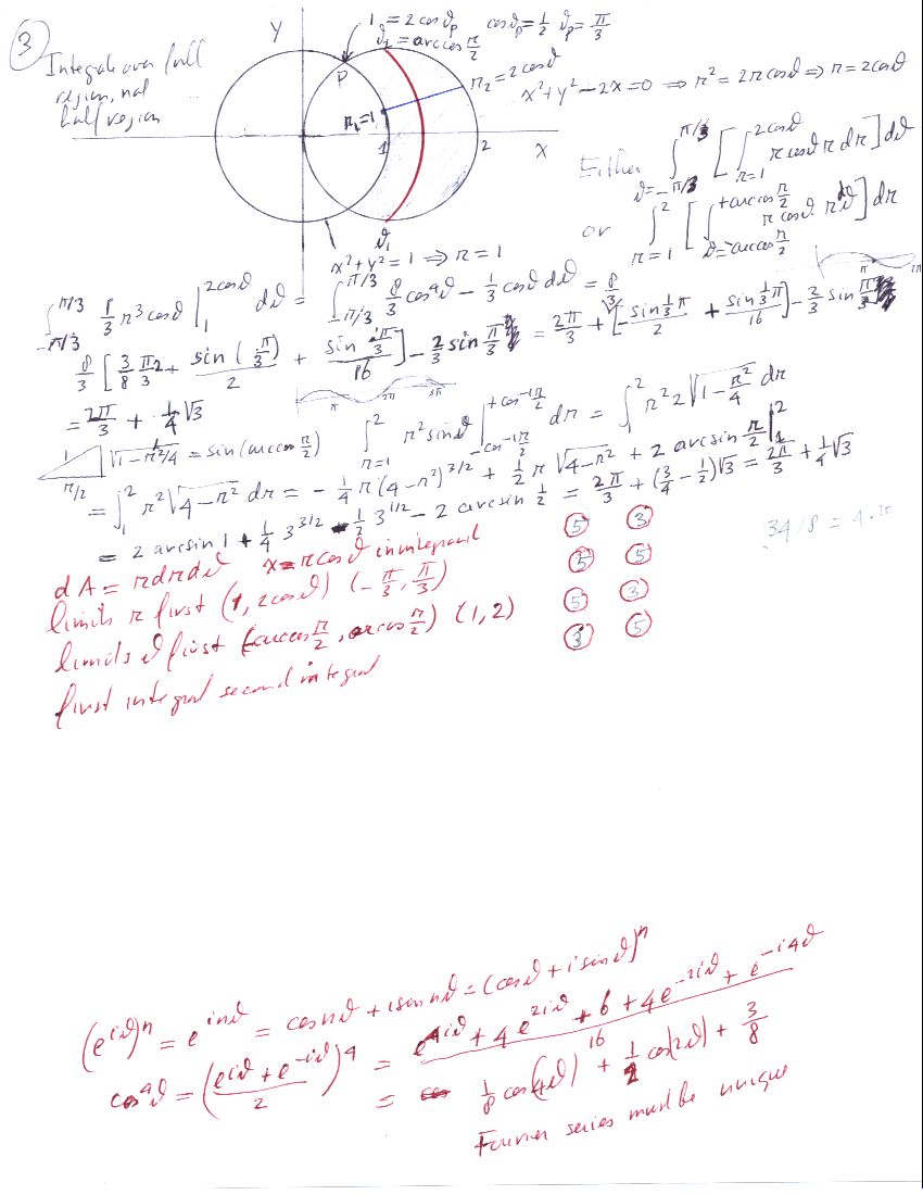
  3. Background: Centroids of plates are important for dynamics, hydrostatics, etcetera.

    Question: Find the integral $\int{}x\,{\rm d}{}A$ for the region

    \begin{displaymath}
\mbox{inside} \quad x^2 + y^2 - 2x = 0 \quad\mbox{but}\quad
\mbox{outside} \quad x^2 + y^2 - 1 = 0
\end{displaymath}

    using the normal polar coordinates. Write the complete integrals, including integration limits, if you do $r$ first and if you do $\theta$ first. Then work out one of these two integrals.

    Solution.