EML 5060 Analysis in Mechanical Engineering 11/01/19
Closed book Van Dommelen 12:30-1:20 pm

Solutions should be fully derived showing all intermediate results, using class procedures. Show all reasoning. Bare answers are absolutely not acceptable, because I will assume they come from your calculator (or the math handbook, sometimes,) instead of from you. You must state what result answers what part of the question. Answer what is asked; you do not get any credit for making up your own questions and answering those. Use the stated procedures. Give exact, fully simplified, answers where possible.

You must use the systematic procedures described in class, not mess around randomly until you get some answer. Echelon form is defined as in the lecture notes, not as in the book. Eigenvalues must be found using minors only. Eigenvectors must be found by identifying the basis vectors of the appropriate null space. Eigenvectors of symmetric matrices must be orthonormal. If there is a quick way to do something, you must use it.

One book of mathematical tables, such as Schaum's Mathematical Handbook, may be used, as well as a calculator, and a handwritten letter-size formula sheet.

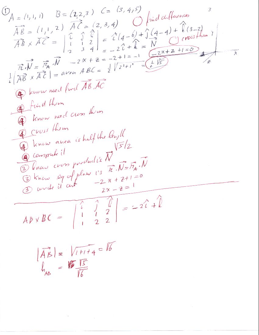
  1. Background: Vector analysis is often the quickest and easiest way to deal with geometry.

    Question: Using vector operations only, (a) find the area of the triangle whose corner points are A (1,1,1), B (2,2,3), and C (3,4,5), and (b) find a scalar equation for the plane through the three points.

    Solution.

  2. Background: Finding eigenvalues and eigenvectors is important for many applications such as buckling, vibrations, principal axes, etcetera.

    Question: Find the eigenvalues and eigenvectors of the following matrix:

    \begin{displaymath}
A =
\left(
\begin{array}{cccc}
1 & 0 & 0 & 0 \\
0 & 2 ...
... 0 \\
0 & 0 & 2 & 3 \\
0 & 0 & 0 & 2
\end{array} \right)
\end{displaymath}

    Use the fastest method to find the eigenvalues and state how and why. Follow the class procedures strictly in finding the required null spaces. No shortcuts or messing around! Make sure that every step you take is unambigously shown. Explain all properties of matrix $A$ that you can get from your derived eigenvalues and eigenvectors, without doing any other math or even looking at the matrix itself at all (Singular? Defective? Symmetric? Rank? Dimensions of the row, column, and null spaces?). List the transformation matrix of the change of coordinates that makes the matrix above diagonal, if any, and its inverse.

    Solution.

  3. Background: Analyzing quadratic forms is of interest in many applications, one of which is finding the geometry of streamlines near a stagnation point in a flow.

    Question: Consider the quadratic equation

    \begin{displaymath}
x^2 + 12 x y + 6 y^2 = \psi
\end{displaymath}

    where $\psi$ is a given constant. Using class procedures for quadratic forms, taking the largest eigenvalue to be the first one, first draw the solution lines in the $x',y'$ principal coordinate system, for the cases that $\psi=1$, 0, and $-1$ (all three in the same plane). Then show the principal axis system, its unit vectors ${\widehat\imath}'$ and ${\widehat\jmath}'$, and the solution lines in the normal $x,y$ coordinate system. Fatten the solution lines or use another color. State what ${\widehat\imath}'$ and ${\widehat\jmath}'$ are in the $x,y$ coordinate system. Make sure the graph is qualitatively accurate and get the principal axes intercepts and various angles as accurately as posssible.

    State how you can find the principal coordinates $x'$ and $y'$ of a point given the normal coordinates $x$ and $y$, and explain fully how you got these relations.

    Solution.