By signing below, I certify that I will not communicate in any way about the exam before 7 pm:

Signature: Date:

EML 5060 Analysis in Mechanical Engineering 12/11/20
Closed book Van Dommelen 3-5 pm

Solutions should be fully derived showing all intermediate results, using class procedures. Show all reasoning. Bare answers are absolutely not acceptable, because I will assume they come from your calculator (or the math handbook, sometimes,) instead of from you. You must state what result answers what part of the question. Answer what is asked; you do not get any credit for making up your own questions and answering those. Ask if clarification of what is asked is needed. Use the stated procedures. Give exact, fully simplified, answers where possible.

One book of mathematical tables, such as Schaum's Mathematical Handbook, may be used, as well as a calculator, and a handwritten letter-size formula sheet.

Write on the front side of the pages only.

  1. Background: Differential equations of second order are common in engineering because of dynamics. Below is an equation for the dynamics of a stable system with generic forcing.

    Question: Solve the ordinary differential equation

    \begin{displaymath}
\ddot y + 6 \dot y + 5 y = F(t)
\end{displaymath}

    with $F(t)$ an arbitrary function of $t$, using variation of parameters.

    Note: Since you cannot do the integrals for the coefficients analytically without knowing function $F(t)$, write them as

    \begin{displaymath}
C_1(t) = \int_{\tau=0}^t \dot C_1(\tau) \,{\rm d}\tau + C_{10}
\end{displaymath}

    where $C_1(t)$ is function $C_1$ evaluated at time $t$ and $\dot C_1(\tau)$ is function $\dot C_1$ evaluated at time $\tau$, and similar for $C_2$. This trick allows you to show the integration constants explicitly. Work out the final expression for $y$ completely.

    Solution.

  2. Background: The Laplace transform is a primary way to study the stability and evolution of linearized dynamical systems, because it turns them into algebraic systems.

    Question: Use the Laplace transform to solve the following damped vibrating system with generic forcing:

    \begin{displaymath}
\ddot y + 4 \dot y + 5 y = F(t) \qquad y(0)=1 \quad \dot y(0)=0
\end{displaymath}

    A table of Laplace transforms is attached. Everything not in this table must be fully derived showing all reasoning. P1 may not be used, and the convolution theorem only where it is unavoidable. Do not use any complex numbers in your analysis (besides $s$.) You can only use one Laplace transform table entry at each step (except P2), and its table number must be listed. No funny (discontinuous) functions in your answers.

    Solution.

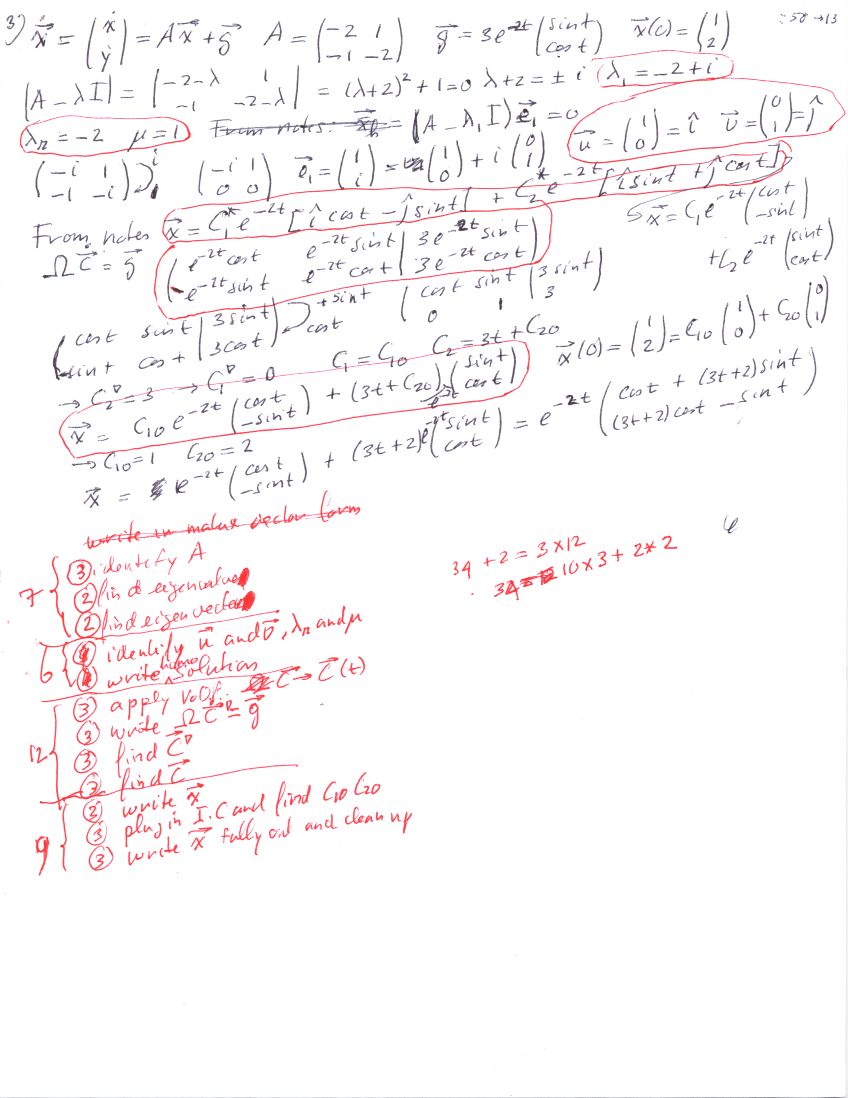
  3. Background: Since any system of differential equations can be reduced to a first order system, all you really need to know is how to solve these systems.

    Question: Solve using the class procedures for systems of ODE, including variation of parameters:

    \begin{displaymath}
\dot x = - 2 x + y + 3 e^{-2t} \sin t \qquad
\dot y = - x - 2 y + 3 e^{-2t} \cos t
\end{displaymath}

    In particular, find the solution for the initial condition

    \begin{displaymath}
x(0)=1 \quad y(0)=2
\end{displaymath}

    Clean up your answer.

    Note: if you do not make algebraic mistakes, the algebra should be fairly simple.

    Solution.


Table 1: Properties of the Laplace Transform. ($k,\tau,\omega>0$, $n=1,2,\ldots$)

\begin{picture}(402,593)(1,0)
% put(1,0)\{ framebox(402,593)\{\}\}
\put(0,295){\...
...u)$ &
$\displaystyle e^{-\tau s}$ \\
\hline
\end{tabular*}}}
\end{picture}