DO NOT STAPLE

By signing below, I certify that I will not communicate in any way about the exam before 2:30 pm, even if I and they have left the classroom:

Signature: Date:

EML 5060 Analysis in Mechanical Engineering 10/30/20
Closed book Van Dommelen 12:30-1:20 pm

Solutions should be fully derived showing all intermediate results, using class procedures. Show all reasoning. Bare answers are absolutely not acceptable, because I will assume they come from your calculator (or the math handbook, sometimes,) instead of from you. You must state what result answers what part of the question. Answer what is asked; you do not get any credit for making up your own questions and answering those. Ask if clarification of what is asked is needed. Use the stated procedures. Give exact, fully simplified, answers where possible.

You must use the systematic procedures described in class, not mess around randomly until you get some answer. Echelon form is defined as in the lecture notes, not as in the book. Eigenvalues must be found using minors only. Eigenvectors must be found by identifying the basis vectors of the appropriate null space. Eigenvectors of symmetric matrices must be orthonormal. If there is a quick way to do something, you must use it.

One book of mathematical tables, such as Schaum's Mathematical Handbook, may be used, as well as a calculator, and a handwritten letter-size formula sheet.

Write on the front side of the pages only.

  1. Background: Vector analysis is often the quickest and easiest way to deal with geometry.

    Question: Use vector operations only in this question (e.g. no trig), as in class. Find the equation of the plane through the three points A, $\vec{r}_A=(1,1,1)$, B, $\vec{r}_B=(2,3,4)$, and C, $\vec{r}_C=(2,0,2)$. Also find the angle between vector $\vec{r}_A$ and that plane. Exact answers are required, but also give the angle approximately in degrees.

    Solution.

  2. Background: Finding eigenvalues and eigenvectors is important for many applications such as buckling, vibrations, principal axes, etcetera.

    Question: Find the eigenvalues of the following matrix:

    \begin{displaymath}
A =
\left(
\begin{array}{cccc}
2 & 0 & 2 & 0 \\
1 & 3 ...
... 5 \\
0 & 0 & 1 & 0 \\
3 & 0 & C & 1
\end{array} \right)
\end{displaymath}

    where $C$ is a constant. Use minors only until they are 2 by 2; absolutely no matrix manipulations. At each stage, take the approach that leads to the smallest possible number of terms in the expansion. It must be clear exactly what you are doing. Next, based on the obtained eigenvalues only, give the values of $C$ for which the matrix $A$ is not singular. Explain in detail why. Also, always using class procedures, find the values of $C$ for which the matrix $A$ is not defective. Explain in detail why.

    Solution.

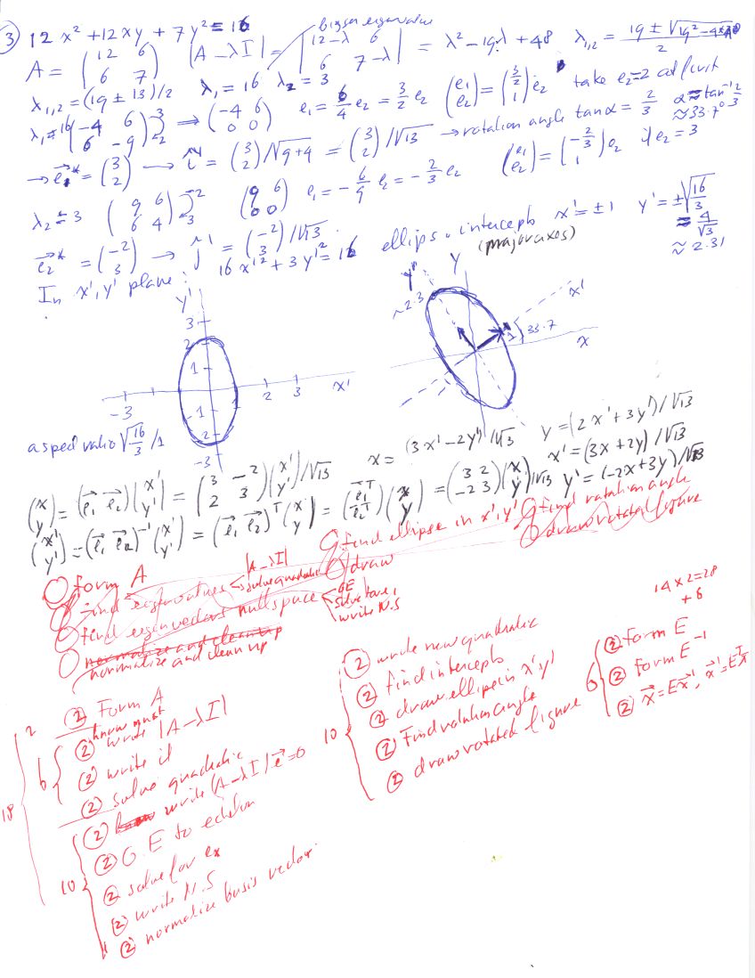
  3. Background: Analyzing quadratic forms is of interest in many applications, one of which is study of conservative dynamical systems near points of equilibrium.

    Question: Consider the quadratic equation

    \begin{displaymath}
12 x^2 + 12 x y + 7 y^2 = 16
\end{displaymath}

    Using class procedures for quadratic forms, taking the largest eigenvalue to be the first one, first draw the solution curve in the $x',y'$ principal coordinate system. Then show the principal axis system, its unit vectors ${\widehat\imath}'$ and ${\widehat\jmath}'$, and the solution curve in the normal $x,y$ coordinate system. Fatten the solution curve or use another color. State what ${\widehat\imath}'$ and ${\widehat\jmath}'$ are in the $x,y$ coordinate system. Using the provided rasters, make sure the graphs are quantitatively accurate and get the principal axes intercepts and various angles and lengths as accurately as possible.

    State how you can find the principal coordinates $x'$ and $y'$ of a point given the normal coordinates $x$ and $y$, and vice-versa, and explain fully how you got these relations using class procedures.

    See the header on page 1 for requirements relevant to this question.

    Solution. Quantitative graphs.