Up: Return
EML 5060 Analysis in Mechanical Engineering 12/13/95
Closed book Van Dommelen 12:30-2:30pm
Show all reasoning and intermediate results leading to your answer.
One book of mathematical tables, such as Schaum's Mathematical Handbook,
may be used.
- 1.
- (33 points).
Consider steady supersonic flow at a Mach number 3.33 under a 45 degree
angle with the x-axis. Small changes in the horizontal velocity
component u(x,y) satisfy
4 uxx + 10 uxy + 4 uyy = 0.
Find new coordinates
and
such that the equation satisfied
by
takes the form

Use this result to show that the solution for u must be of the form
u(x,y) = f(2x-y)+g(2y-x),
where f and g are arbitrary functions.
Solution
- 2.
- (33 points).
Solve heat conduction in a semi-infinite bar which is initially
at zero temperature. Heat is removed through the end at a
rate which increases linearly in time:

Note: you will probably not succeed in simplifying the
final result for u.
Solution
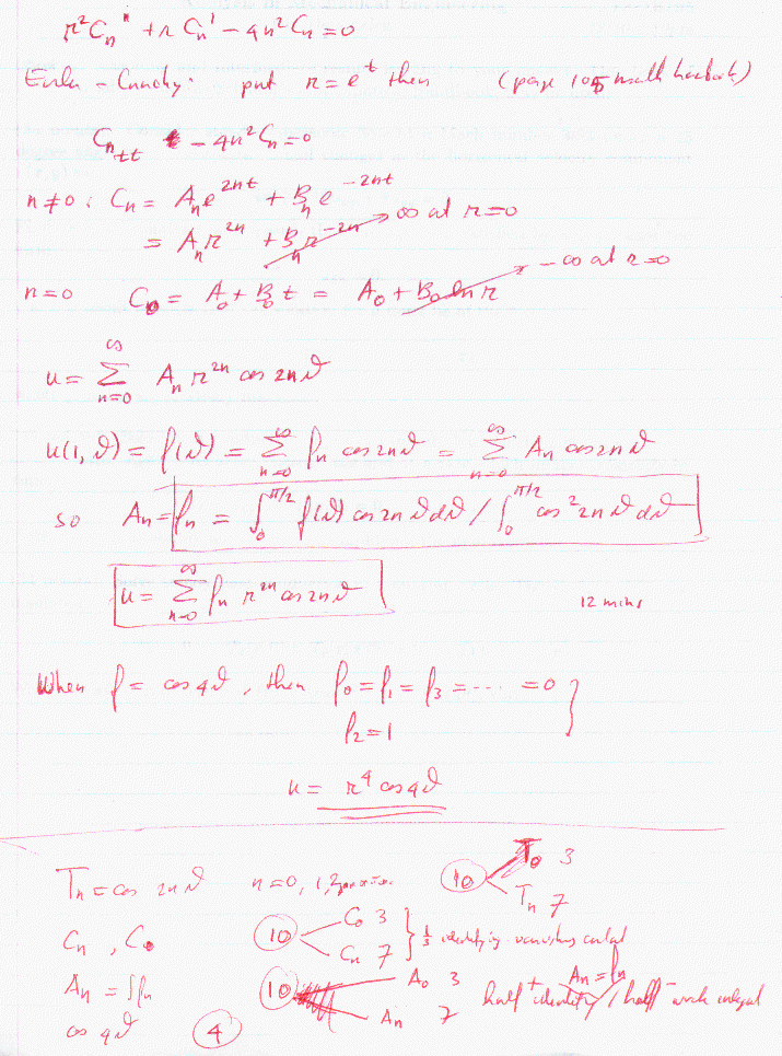
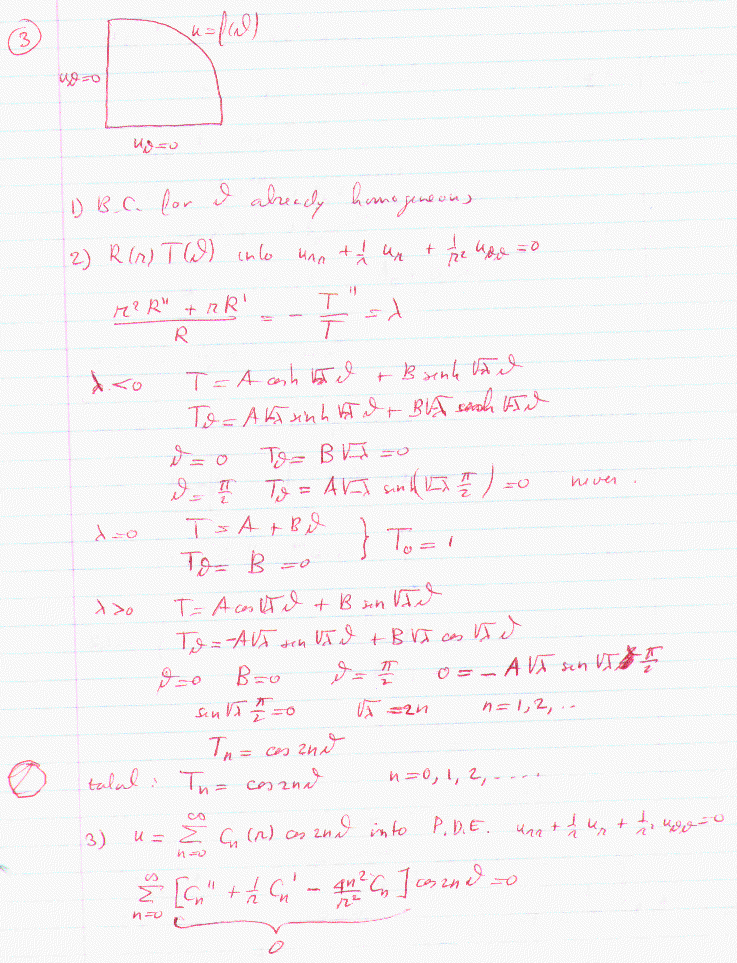
- 3.
- (34 points).
Solve steady heat conduction in a quarter circle.
The straight sides are insulated:

Write the solution in terms of
.Also, if
, what is u?
Solution a
Solution b
Up: Return