Up: Return
EML 5060 Analysis in Mechanical Engineering 9/22/95
Closed book Van Dommelen 9:00-9:50 EST
Show all reasoning and intermediate results leading to your answer.
One book of mathematical tables, such as Schaum's Mathematical Handbook,
may be used.
- 1.
- (33 points).
The `shock polar' describes the velocity behind an oblique
shock wave in supersonic flows.
It says that the velocity components
u and v behind a shock are related by
v2 (a-u) = (1-u)2 (u-b)
where a>1 and 0<b<1 are constants.
Show the features (shape, intercepts, asymptotes, symmetries,
behavior at large u and v, etcetera)
of this curve in the u,v-plane. Draw the curve neatly and showing all
features clearly.
Solution
- 2.
- (33 points).
The interest on a principal or invested sum of money P produces a
balance B given by the compound interest rule

Here n is the number of times interest is paid, r/n is the nominal
annual rate in percent, and T is the number of years interest is paid.
Find the limit of B when
(continously compounded interest).
Hint: find the limit of
for
first.
Solution
- 3.
- (34 points).
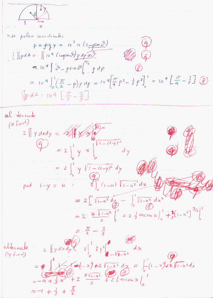
A window is shaped as a half circle with unit radius.
It is oriented vertically with the flat side horizontal at the bottom.
One side of this window is submerged in water so that the top
of the half circle is level with the surface of the water.
Assume that the pressure increases with depth as p=104 y where y
is the depth below the free surface.
Find the pressure force on the window.
Solution
Up: Return