Up: Return
EML 5060 Analysis in Mechanical Engineering 9/22/95
Closed book Van Dommelen 9:00-9:50 EST
Show all reasoning and intermediate results leading to your answer.
One book of mathematical tables, such as Schaum's Mathematical Handbook,
may be used.
- 1.
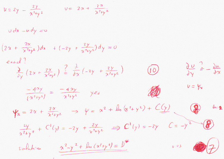
- The velocity components in front of a body with a hole are:

The `streamlines' of a flow can be found from

Find the equation of the streamlines in this flow.
Solution
- 2.
- A damped spring mass system experiences an external force,
resulting in an equation of motion

Find the general motion of the mass x(t).
Solution
- 3.
- The equation governing a beam in a destabilizing force field is:
y'''' - y = 0.
Find the shape of the beam y(x) given the initial conditions

Solution
Up: Return