Up: Return
EML 5060 Analysis in Mechanical Engineering 9/17/96
Closed book Van Dommelen 9:00-9:50am
Show all reasoning and intermediate results leading to your answer.
One book of mathematical tables, such as Schaum's Mathematical Handbook,
may be used.
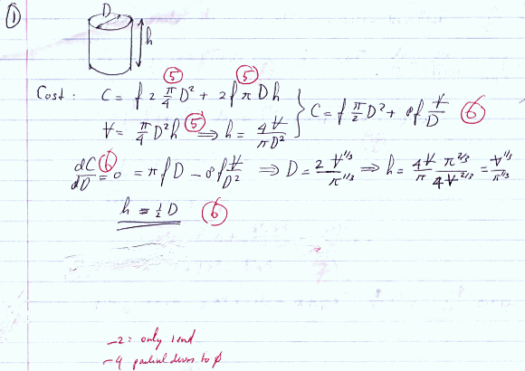
- 1.
- (33 points).
For a cylindrical barrel, assume that the cost of the flat ends is f dollar
per square feet, while the cylindrical surface costs 2f dollar per
square feet. Find the ratio of diameter D to height h of the
barrel that gives the lowest total cost for a given barrel volume V.
(It seems that the people who invented barrels may not have known
much about cost reduction?)
Solution.
- 2.
- (33 points).
A vehicle moves along the hyperbolic curve
y2 - x2 = 1
with a constant, unit speed. Find the time to travel from x=0 and y=1
to x=0.5. Note: you will need to make an approximation. Include the
first three nontrivial terms in this approximation.
Solution.
- 3.
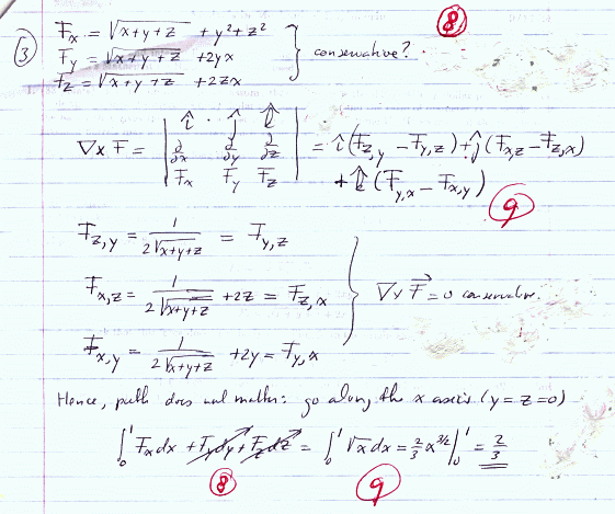
- (34 points).
A force field is described by



Find the work that this force does on a body travelling from
the origin along the half circle

to the point (x,y,z)=(1,0,0) on the x-axis. Hint: a brute force
approach may be a fun challenge, but more than you can do in the
allotted time. If you can simplify this problem, explain why,
and do it.
Solution.
Up: Return
'Author: Leon van Dommelen'