Up: Return
EML 5060 Analysis in Mechanical Engineering 10/17/97
Closed book Van Dommelen 10:45-11:35am
Show all reasoning and intermediate results leading to your answer.
One book of mathematical tables, such as Schaum's Mathematical Handbook,
may be used.
- 1.
- You need to attach a flat plate to three attachment points. The
coordinates of these points are: P at (3,1,1), Q at (2,2,2), and R at
(1,1,3), in a coordinate system (x,y,z) in which the y-axis is
vertical. Find the equation for the plane of this plate. At
what angle is this plane compared to the horizontal x,z-plane?
Solution.
- 2.
- Someone needs to attach a flat plate to six attachment points.
The coordinates of these points are: P at (1,2,5), Q at (5,3,7), R at
(6,3,9), S at (6,4,3), T at (2,3,1), and U at (7,3,11). You are to
figure out whether that is possible. You can only attach a single
flat plate to all six points if they are all located in the same
plane. To see whether they are, write down the five vectors from P to
Q, from P to R, from P to S, from P to T, and from P to U. Then
determine the dimension of the space spanned by these 5 vectors, to
see whether they are all in the same plane. If they are, give two
simple basis vectors in this plane. (Simple to mean that at least one
of the three coefficients of the vector is zero, and another is
unity.)
Solution.
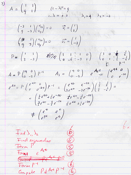
- 3.
- Systems of ordinary differential equations of the form
are important for controls, dynamics, chemical
reactions, numerical analysis, etcetera. Here
is the unknown
vector and A is a matrix. In your Ordinary Differential Equations book
you can find that the solution takes the form
.But of course you already know how to evaluate eAt. Show that when

then

and not

as students with no knowledge of linear algebra might think.
Solution.
Up: Return
'Author: Leon van Dommelen'