Up: Return
EML 5060 Analysis in Mechanical Engineering 11/3/97
Closed book Van Dommelen 10:45-11:35am
Show all reasoning and intermediate results leading to your answer.
One book of mathematical tables, such as Schaum's Mathematical Handbook,
may be used.
- 1.
- The equation describing the field lines of an electrostatic
field is

Draw and describe the field lines.
Solution.
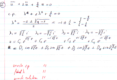
- 2.
- An electrical circuit involving two capacitors and two inductors
is governed by the equation:

Find the general solution.
Solution.
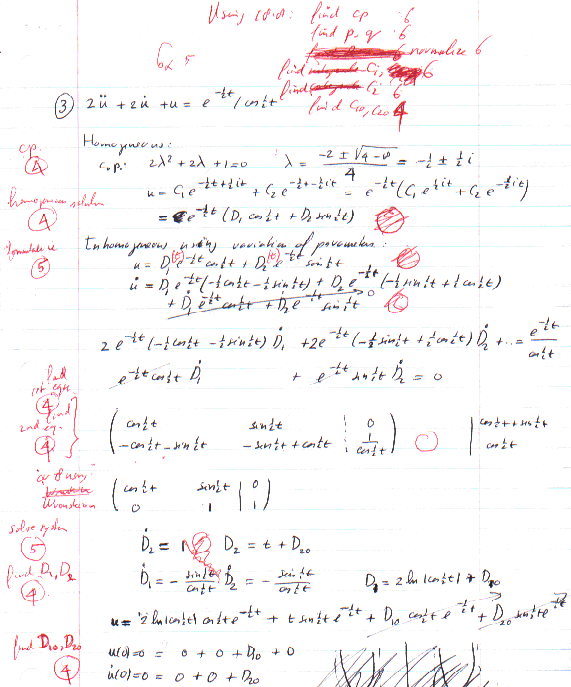
- 3.
- The current in an RCL circuit with a certain applied voltage satisfies
the equation:

Find the current, assuming that
.Solution.
'Author: Leon van Dommelen'