next up previous
Up: Return

EML 5060 Analysis in Mechanical Engineering 10/19/98
Closed book Van Dommelen 11:00-11:50am

Show all reasoning and intermediate results leading to your answer. One book of mathematical tables, such as Schaum's Mathematical Handbook, may be used, as well as a standard size handwritten formula sheet.

1.
What is the equation for the unknowns a, b, c, and d in order that the point P, (1,-1,5) is in the plane

a x + b y + c z = d

What are the equations that need to be satisfied in order that the points Q, (-1,1,7), R, (-1,-1,11), S, (-1,-2,13), and T, (-1,3,3), are also all in this same plane? Solve all equations to find the plane, if it exists. Solution.

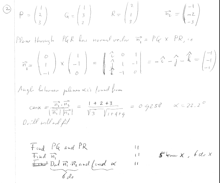
2.
We want to push a drill in between two intersecting planes of a part to drill a hole through the line where they meet. The drill will only fit if the angle between the planes is at least 30 degrees. One of the two planes passes through the three points P, (1,2,3), Q, (1,3,2), and R, (2,1,3). The other plane is normal to the vector $\vec n_2 = (-1,-2,-3)$. Determine the (smaller) angle between these two planes to see whether it is more than 30 degrees. Solution.

3.
The potential energy near a position of equilibrium (0,0,0) is given by

V = x2 + y2 + z2 + 2xy - 4xz +2yz

The equilibrium is stable if the potential energy is always positive away from the origin (0,0,0). Determine whether the corresponding matrix is positive definite to see whether it is stable. Solution.


next up previous
Up: Return
'Author: Leon van Dommelen'