Up: Return
EML 5060 Analysis in Mechanical Engineering 11/02/98
Closed book Van Dommelen 11:00-11:50am
Show all reasoning and intermediate results leading to your answer.
One book of mathematical tables, such as Schaum's Mathematical Handbook,
may be used, as well as a standard size handwritten formula sheet.
- 1.
- A vehicle is slowed down by viscous friction as well as by deployment
of an airbrake. Assuming that the drag coefficient varies linearly
with time during deployment, the governing equation for the vehicle velocity
v is after normalization:

Solve this equation.
Solution.
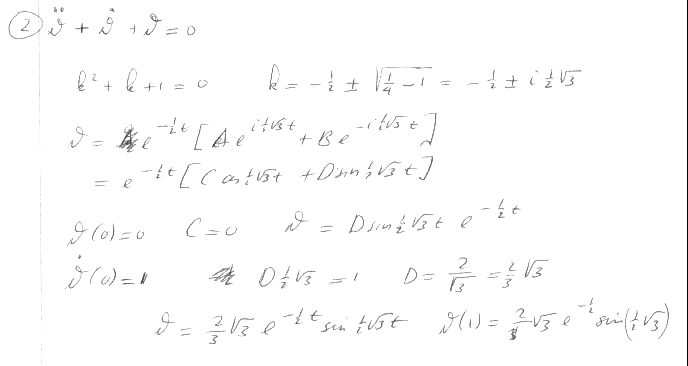
- 2.
- The governing equations for a damped pendulum that initially has a
unit angular velocity are:

Find the angular position
at time t=1.
Solution.
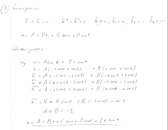
- 3.
- The governing equation for the motion of two masses connected
by a spring that experience resonant forcing is:

Solve this equation.
Solution.
'Author: Leon van Dommelen'