Up: Return
EML 5060 Analysis in Mechanical Engineering 9/22/99
Closed book Van Dommelen 10:45-11:35am
Show all reasoning and intermediate results leading to your answer, or
credit will be lost. One book of mathematical tables, such as Schaum's
Mathematical Handbook, may be used, as well as a calculator.
- 1.
- A car is cornering according to the curve
y2 = 1 + x2
(x and y>0 in meters) with a constant velocity of two m/sec. Draw
the path that the car travels, showing all features clearly.
Find the velocity components for any car position x.
Solution.
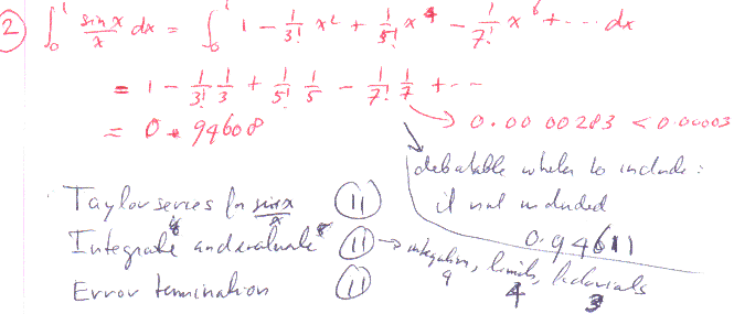
- 2.
- Various problems, such as finding the period of a pendulum
that takes large swings, involve integrals that are nontrivial,
but that can be evaluated using approximation. As a simple example,
evaluate

to an error that is guaranteed to be less than 0.00003. Do this
using only the +, -, *, and / operations on your
calculator.
Solution.
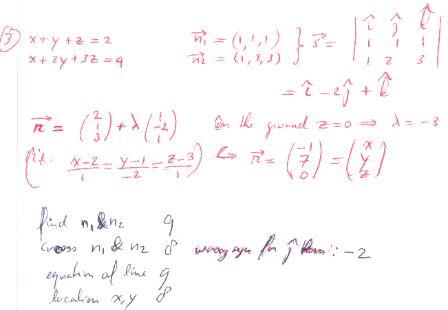
- 3.
- We want to shoot a directed laser beam weapon through an opening
at a distant enemy. In order to have the best chance of hitting
within the enemy's rank, we must shoot in a direction parallel to the
line x+y+z=2, x+2y+3z=4. Find a vector in the direction of this
line. If the opening through which we must shoot is at the location
x=2, y=1, and z=3, and we are standing on level ground, (being
the plane z=0), give an equation for the desired line of fire and
the location (x,y) from which we must fire our weapon.
Solution.
Up: Return