Up: Return
EML 5060 Analysis in Mechanical Engineering 10/22/99
Closed book Van Dommelen 10:45-11:35am
Show all reasoning and intermediate results leading to your answer, or
credit will be lost. One book of mathematical tables, such as Schaum's
Mathematical Handbook, may be used, as well as a calculator.
- 1.
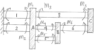
- The construction below consists of beams 1 through 6 and slabs
A, B, and C welded together as shown. Beams 1 and 2 are welded to a
fixed wall. Due to construction tolerances, there are internal bending
moments M1 through M6 in the bars. Write equilibrium equations
for slabs A, B and C. Reduce this system to echelon form and thus
find a basis to the null space. From it, show that the internal moment
field is always a superposition of a small number of independent
simple moment fields. Identify and describe these independent simple
internal fields.
Solution.

- 2.
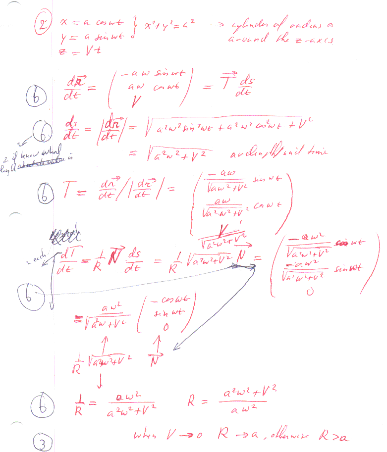
- A point spirals along the surface of the cylinder
of radius a around the z-axis according to

where a,
, and V are given constants. Find the tangential
unit vector to the path as well as the arclength travelled per unit
time. Also find the unit vector pointing from the point to the center
of curvature of the path. Find the radius of curvature of the
path and show that it is greater than the radius a of the cylinder along
which the point is moving.
Solution.

- 3.
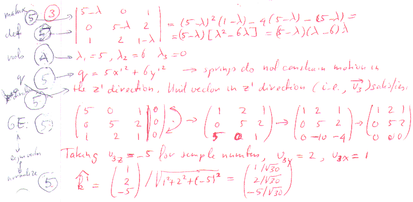
- The point below is suspended by a variety of springs. The potential
energy stored in the springs when the point moves away from the origin
is:
Up = 5 x2 + 5 y2 + z2 + 2 xz + 4 yz
To what principal form
can this be simplified by a suitable rotation of the coordinate
system? From this simplified expression, show that the springs do not
oppose motion in a certain direction. Give the unit vector
in that direction.
Solution.

Up: Return