Up: Return
EML 5060 Analysis in Mechanical Engineering 11/8/99
Closed book Van Dommelen 10:45-11:35am
Show all reasoning and intermediate results leading to your answer, or
credit will be lost. One book of mathematical tables, such as Schaum's
Mathematical Handbook, may be used, as well as a calculator and a single
A4-size handwritten formula sheet.
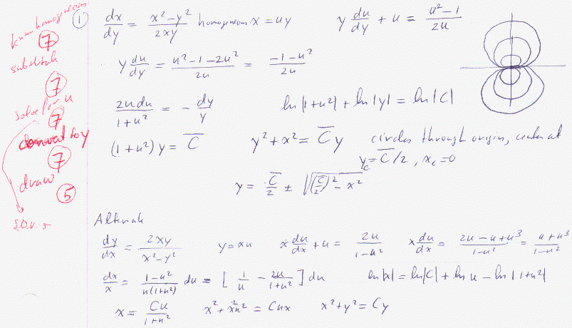
- 1.
- The streamlines in a certain ideal flow satisfy

Find and draw the streamlines of this flow.
Solution.
- 2.
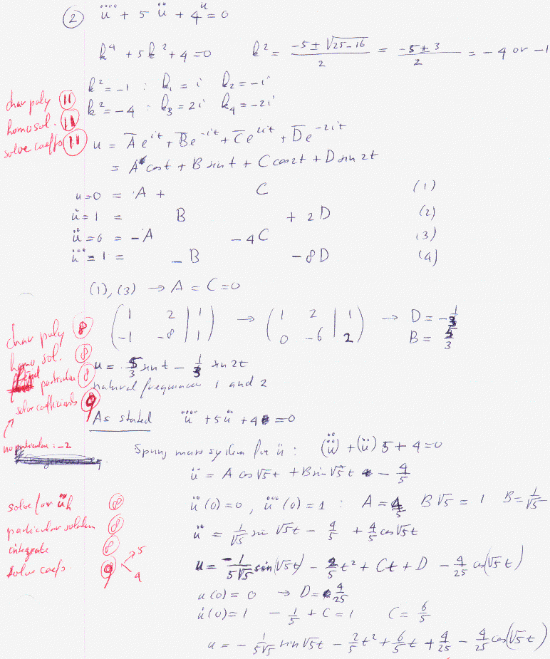
- In a certain dynamical system with two degrees of freedom, the
equation of motion for one of the degrees of freedom u has been
derived as

The initial conditions at time t=0 involve kinetic energy only:
,
.Find the degree of freedom u for any time. Also, what are
the natural frequencies of the system? (Note: the last term should
have been 4u.)
Solution.
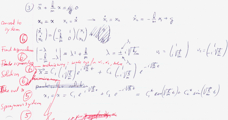
- 3.
- The equation of motion of the simplest spring-mass system
is, of course,

Solve this equation completely as a first order system according to
the procedure explained in class.
Show that this leads to the usual well-known solution for the motion
of a spring-mass system.
Solution.
Up: Return