EML 4930/5930 Analysis in M.E. II 02/22/06
Closed book Van Dommelen 9:15-10:05 am

Show all reasoning and intermediate results leading to your answer, or credit will be lost. One book of mathematical tables, such as Schaum's Mathematical Handbook, may be used, as well as a calculator and one handwritten letter-size single formula sheet.

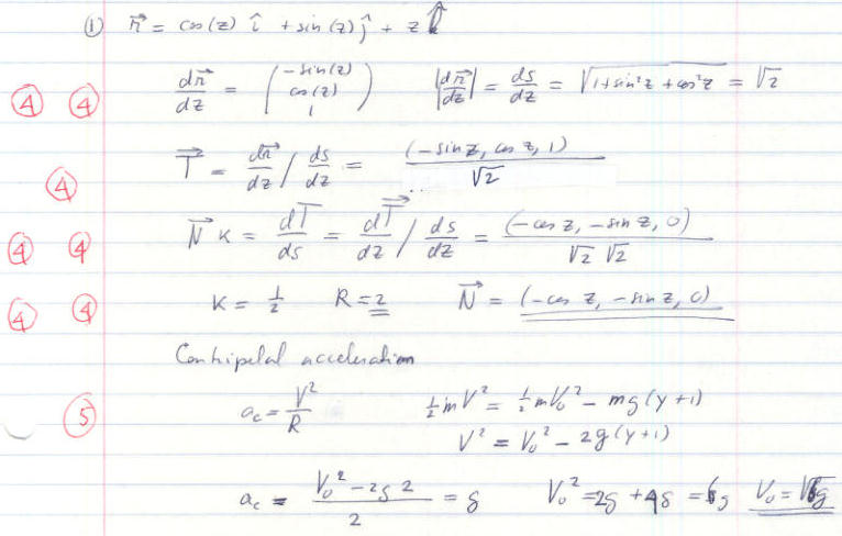
  1. A daredevil on a motorcycle is spiraling along the inner surface of a large diameter horizontal pipe. The path of his center of gravity is given by

    \begin{displaymath}
\vec r = \hat\imath \cos(z) + \hat\jmath \sin(z) + \hat kz
\end{displaymath}

    with the $y$-axis vertically upwards. Find the radius of curvature of his path in terms of $z$; also find the unit vector normal to his path.

    Now assume that his kinetic energy is given by

    \begin{displaymath}
{\textstyle\frac{1}{2}} m V^2 = {\textstyle\frac{1}{2}} mV_0^2 - mg(y+1)
\end{displaymath}

    where $V_0$ is his speed at the bottom of the pipe. How slow can he go on the bottom before he falls off the top of the pipe?

    Solution.

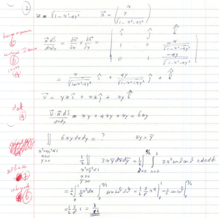
  2. A velocity field is given by

    \begin{displaymath}
\vec v = yz\hat\imath + xz\hat\jmath +xy\hat k
\end{displaymath}

    Find the volumetric flow rate $\int \vec v\cdot\vec n\,{\rm d}S$ through the octant of a spheroid given by

    \begin{displaymath}
z =\sqrt{1-x^2-4y^2} \qquad x \ge 0, y\ge 0
\end{displaymath}

    (Hint: To simplify the final integral, define a new coordinate $\bar
y=2y$.)

    Solution.

  3. The neutron density $p(x,y,z,t)$ in a radioactive material is the number of neutrons in the material per unit volume. Assume that each volume element ${\rm d}V$ produces additional neutrons $2 p{\rm d}V$ per unit time.

    The production of additional neutrons in a volume will equal the rate of increase of the number of neutrons in the considered volume plus the neutrons escaping through the surface of the solid. If the net number of neutrons leaving through the surface of any volume of the material is

    \begin{displaymath}
- \int D \nabla p \cdot \vec n \,{\rm d}S
\end{displaymath}

    with $D$ some diffusion constant, write an integral law for the rate of change of neutrons in an arbitrary volume in terms of the production and the neutrons leaving through its surface. From this, find a partial differential equation for the evolution of the neutron density with time.

    Solution.