| EML 4930/5930 |
| Closed book |
| Analysis in M.E. II |
| Van Dommelen |
Show all reasoning and intermediate results leading to your answer, or
credit will be lost. One book of mathematical tables, such as Schaum's
Mathematical Handbook, may be used, as well as a calculator and one
handwritten letter-size single formula sheet.
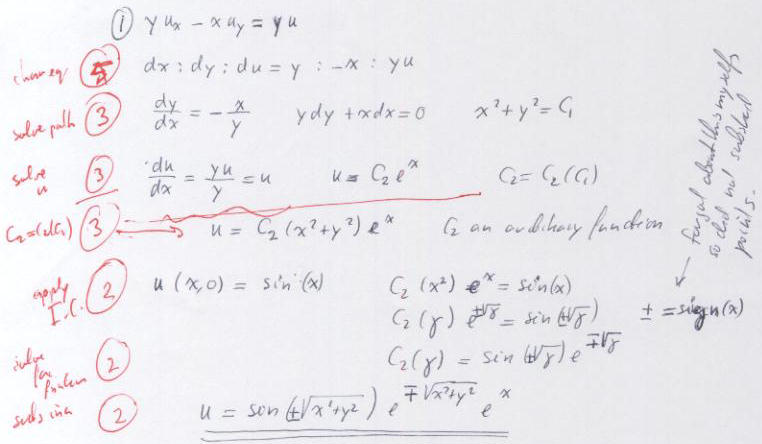
- Solve the first order partial differential equation and initial
condition:
Solution.
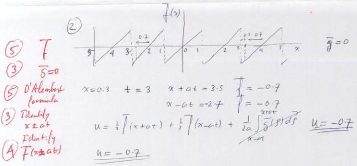
- Find the numerical value of u(0.3,3) for acoustics in a pipe of
length one with open ends. The partial differential equation is
with boundary conditions and initial conditions
Solution.
- Solve the following problem using the method of separation of
variable. The partial differential equation is
with boundary conditions and initial conditions
Solution.
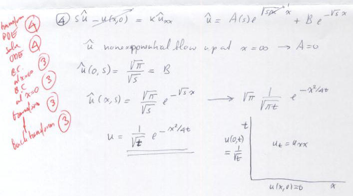
- Solve the following problem of a viscous flow next to a plate.
The partial differential equation is:
and the initial and boundary conditions are:
Solution.
Table 6.3: Properties of the Laplace Transform
 |
 |
1.
 |
 |
2.
 |
 |
3.
 |
 |
4.
 |
 |
5.
 |
 |
6.
, where |
 |
|
 |
7.
 |
 |
Table 6.4: Laplace Transform Pairs
 |
 |
1.
 |
 |
2.
 |
 |
3.
 |
 |
4.
 |
 |
5.
 |
 |
6.
 |
 |
7.
 |
 |
8.
 |
 |
9.
,
where |
 |
|
 |