EML 4930/5930 Analysis in M.E. II 02/21/07
Closed book Van Dommelen 9:40-10:30 am

Show all reasoning and intermediate results leading to your answer, or credit will be lost. One book of mathematical tables, such as Schaum's Mathematical Handbook, may be used, as well as a calculator and one handwritten letter-size single formula sheet.

  1. Consider the following curve given in terms of a parameter $t$:

    \begin{displaymath}
x=e^t\cos t\qquad y=e^t\sin t \qquad z=e^t
\end{displaymath}

    Find the unit tangential vector to the curve in terms of $t$ and find its curvature. Also, if $\vec B$ is the unit vector normal to the osculating plane of the curve, find the direction of the rate of change of $\vec B$ with respect to the arclength along the curve.

    Solution.

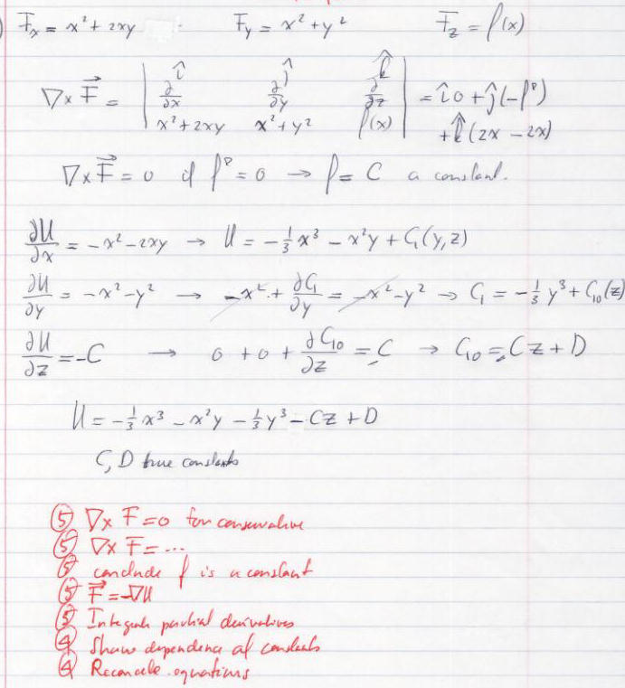
  2. Consider the following force field:

    \begin{displaymath}
\vec F = \hat\imath (x^2+2xy)+\hat\jmath (x^2+y^2)+\hat kf(x)
\end{displaymath}

    Find the most general possible form of function $f(x)$ for which this force field is conservative. Derive the most general expression for the potential energy, fully specifying all dependencies.

    Solution.

  3. Boundary layer coordinates $u_1$, $u_2$, and $u_3$ are defined by the following expression for the position vector $\vec r=(x,y,z)$:

    \begin{displaymath}
\vec r = \vec r_0 + \hat\imath _2 u_2 + \hat\imath _3 u_3
\end{displaymath}

    Here $\hat\imath _3$ is a constant vector, but $\vec r_0$ and $\hat\imath _2$ depend on $u_1$. In particular,

    \begin{displaymath}
\frac{{\rm d}\vec r_0}{{\rm d}u_1} = \hat\imath _1
\qqua...
...frac{{\rm d}\hat\imath _2}{{\rm d}u_1} = \kappa\hat\imath _1
\end{displaymath}

    where $\kappa$ is a function of $u_1$. The vectors $\hat\imath _1$, $\hat\imath _2$ and $\hat\imath _3$ are orthogonal unit vectors.
    1. Show that boundary layer coordinates are orthogonal curvilinear coordinates.
    2. Derive the scale factors or metric indices.
    3. Derive the derivatives of the unit vectors with respect to the coordinate directions. Note the given data, such as that $\hat\imath _3$ is a constant vector.

    Solution.