EML 4930/5930 Analysis in M.E. II 04/22/08
Closed book Van Dommelen 3-5 pm
Show all reasoning and intermediate results leading to your answer, or
credit will be lost. One book of mathematical tables, such as Schaum's
Mathematical Handbook, may be used, as well as a calculator and one
handwritten letter-size single formula sheet.
- (20%) Solve the PDE and initial condition
Why is the initial condition only given for
?
Solution.
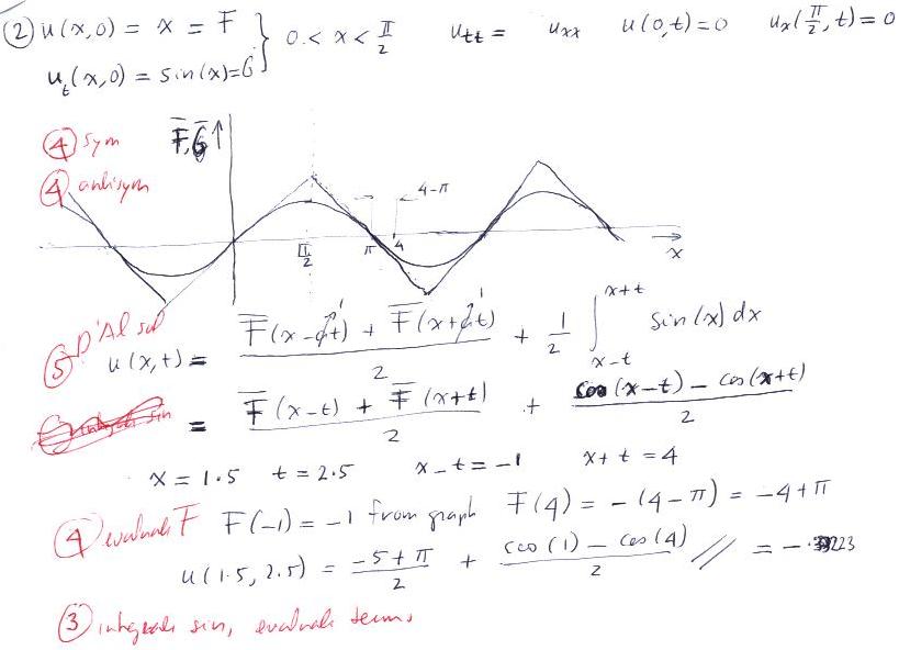
- (20%) Use D’Alembert to find the pressure
to the
problem of acoustics in a pipe of length
with one end
open and the other end closed,
if the initial conditions are
In particular evaluate
at
and
. Note that the
extension of
to all
will take a simple analytical
form.
Solution.
- (40%) Solve the following problem of heat conduction in a bar
of length 1 using separation of variables:
Write out the fully worked-out solution precisely and completely.
Solution.
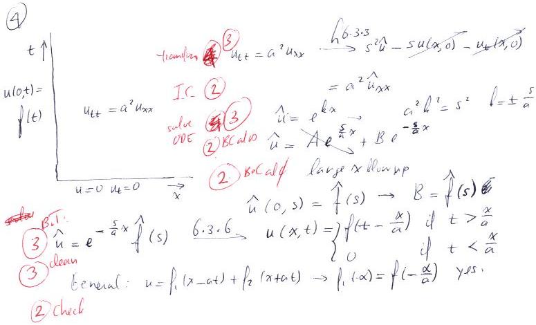
- (20%) Solve the following problem of vibrations in a
semi-infinite string using the Laplace transform method:
where
is to be considered to be some given function and
. Show all steps and reasoning. Your answer should not
have weird mathematics, but be in simple terms that anyone with a
basic understanding of functions can understand. Does your solution
agree with the general solution to the wave equation?
Solution.
Table 6.3: Properties of the Laplace Transform
 |
 |
1.
 |
 |
2.
 |
 |
3.
 |
 |
4.
 |
 |
5.
 |
 |
6.
, where |
 |
|
 |
7.
 |
 |
Table 6.4: Laplace Transform Pairs
 |
 |
1.
 |
 |
2.
 |
 |
3.
 |
 |
4.
 |
 |
5.
 |
 |
6.
 |
 |
7.
 |
 |
8.
 |
 |
9.
,
where |
 |
|
 |