EML 4930/5930 Analysis in M.E. II 03/03/08
Closed book Van Dommelen 9:40-10:30 am

Show all reasoning and intermediate results leading to your answer, or credit will be lost. One book of mathematical tables, such as Schaum's Mathematical Handbook, may be used, as well as a calculator and one handwritten letter-size single formula sheet.

  1. Consider the following volume in Cartesian coordinates, shaped like a square cylinder with an uneven top assuming that $z$ is upwards:

    \begin{displaymath}
0\le x\le \pi
\qquad
0\le y\le\pi
\qquad
0\le z\le x^2 + y^2 + xy
\end{displaymath}

    There is a heat flux through this volume given by

    \begin{displaymath}
\vec q = \sin(x)\cos(y)\hat\imath -\cos(x)\sin(y)\hat\jmath
\end{displaymath}

    and we are interested in the net heat flow coming out of the volume, as given by

    \begin{displaymath}
\int_S \vec q\cdot\vec n  {\rm d}S
\end{displaymath}

    where $S$ consists of all 6 outside surfaces of the volume.
    1. Show that the heat flow out of the bottom surface $z=0$ is zero.
    2. Show that the heat flow out of the side surfaces $x=0$, $x=\pi$, $y=0$, and $y=\pi$ is also zero.
    3. That leaves the heat flow through the top surface. Write an explicit expression for $\vec n {\rm d}S$ in terms of $x$ and $y$ for this top surface.
    4. Write the integral to be evaluated on the top surface out completely, but do not integrate it yet.
    5. Show that $\vec q =\nabla\times\big[\sin(x)\sin(y)\hat k\big]$.
    6. Based on that fact, explain what the top integral will be.

    Solution.

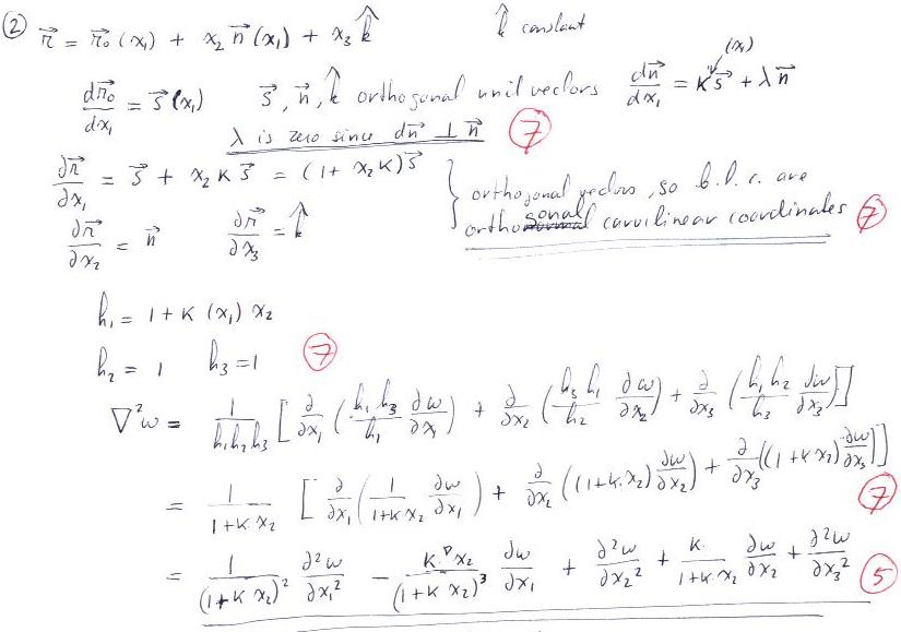
  2. Boundary layer coordinates $x_1$, $x_2$, and $x_3$ are defined by the following expression for the position vector $\vec r=(x,y,z)$:

    \begin{displaymath}
\vec r = \vec r_0(x_1) + x_2 \vec n(x_1) + x_3 \hat k
\end{displaymath}

    where $(x_1)$ indicates that those vectors are functions of $x_1$. In particular,

    \begin{displaymath}
\frac{{\rm d}\vec r_0}{{\rm d}x_1} = \vec s(x_1)
\qquad
...
...\vec n}{{\rm d}x_1} = \kappa(x_1)\vec s + \lambda(x_1)\vec n
\end{displaymath}

    and $\vec s$, $\vec n$ and $\hat k$ are a set of mutually orthogonal unit vectors.
    1. Explain why $\lambda=0$.
    2. Explain why this is an orthogonal curvilinear coordinate system.
    3. Find the expression for the Laplacian of a quantity $w$ in terms of these coordinates.
    4. Work the expression out completely.

    Solution.

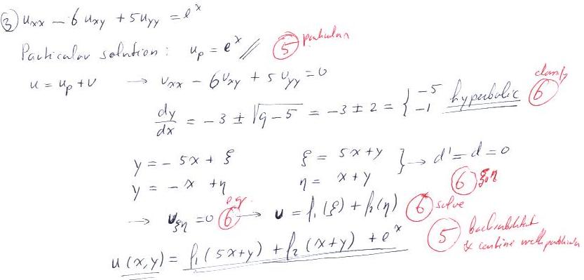
  3. Consider the following partial differential equation

    \begin{displaymath}
u_{xx} - 6 u_{xy} + 5 u_{yy} = e^x
\end{displaymath}

    1. Find a particular solution.
    2. Classify the equation.
    3. Derive the general solution $u(x,y)$ to the equation, (expressed in terms of $x$ and $y$, of course).

    Solution.