EML 4930/5930 Analysis in M.E. II 04/28/09
Closed book Van Dommelen 3-5 pm
Show all reasoning and intermediate results leading to your answer, or
credit will be lost. One book of mathematical tables, such as Schaum's
Mathematical Handbook, may be used, as well as a calculator and one
handwritten letter-size single formula sheet.
- (20%) Solve the following PDE and initial condition
Draw at least four characteristics very neatly in the
-plane.
Based on the picture, is the above problem properly posed? Explain.
Solution.
- (20%) Use D’Alembert to find the pressure
to the
problem of acoustics in a pipe of length
with both ends
closed,
if the initial conditions are
In particular evaluate
at
and
if
. Exact
value only. Note that the extension of
to all
will
take a simple analytical form.
Solution.
- (40%) Solve the following problem of heat conduction in a bar
of length 1 using separation of variables:
Write out the fully worked-out solution precisely and completely.
Solution.
Solution.
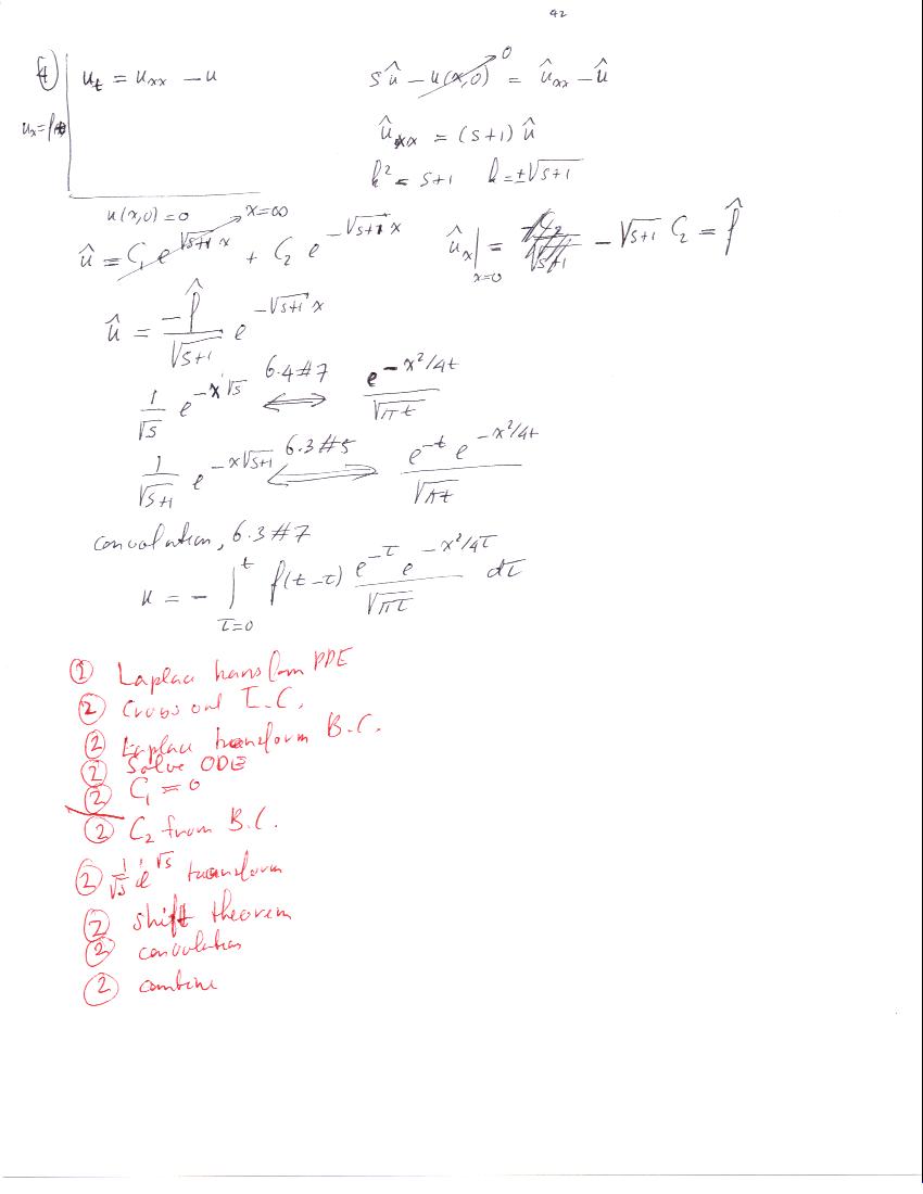
- (20%) Solve the following problem of heat conduction plus
radiation in a semi-infinite bar by Laplace transforming the
problem as given:
where
is to be considered to be some given function and
. Show all steps and reasoning. Your answer should
not have weird mathematics, but be in simple terms that anyone with
a basic understanding of calculus can understand.
Solution.
Table 6.3: Properties of the Laplace Transform
 |
 |
1.
 |
 |
2.
 |
 |
3.
 |
 |
4.
 |
 |
5.
 |
 |
6.
, where |
 |
|
 |
7.
 |
 |
Table 6.4: Laplace Transform Pairs
 |
 |
1.
 |
 |
2.
 |
 |
3.
 |
 |
4.
 |
 |
5.
 |
 |
6.
 |
 |
7.
 |
 |
8.
 |
 |
9.
,
where |
 |
|
 |