EML 4930/5930 Analysis in M.E. II 02/25/09
Closed book Van Dommelen 9:40-10:30 am

Show all reasoning and intermediate results leading to your answer, or credit will be lost. One book of mathematical tables, such as Schaum's Mathematical Handbook, may be used, as well as a calculator and one handwritten letter-size single formula sheet.

  1. Parallelogram $ABCD$ has its corner point $A$ at the origin. The diagonally opposite point is C.
    1. Write the area of this parallelogram in terms of the vectors $\vec{r}_B$ and $\vec{r}_C$. Clean up.
    2. Parallelepiped $ABCDEFGH$ has point $G$ diagonally opposite to $A$ and has $E$ on the same edge as $A$. Write diagonal $AG$ in terms of $\vec{r}_B$, $\vec{r}_C$, and $\vec{r}_E$.
    3. Write the volume of the parallepiped $ABCDEFGH$ in terms of $\vec{r}_B$, $\vec{r}_C$, and $\vec{r}_E$. Clean up.
    4. Evaluate all of the above if $\vec{r}_B=(3,-1,1)$, $\vec{r}_C=(4,4,0)$, and $\vec{r}_E=(0,0,1)$. Clean up.

    Solution.

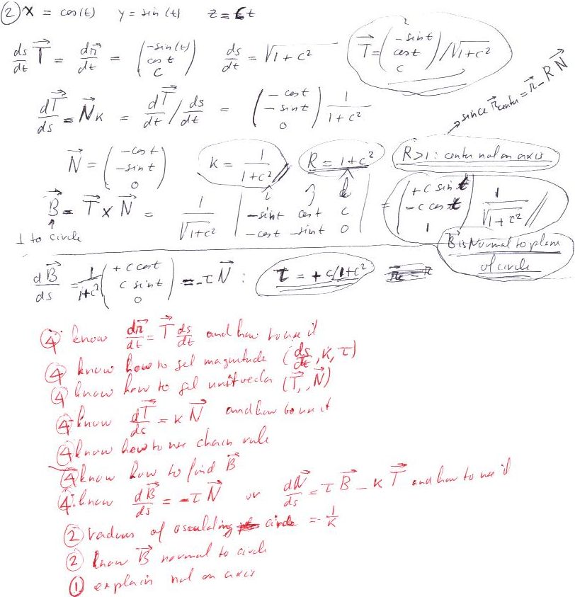
  2. A screw thread can be modeled as the spiral

    \begin{displaymath}
x = \cos t \qquad y = \sin t \qquad z = C t
\end{displaymath}

    where $C$ is a constant. This spiral is on the surface of a circular cylinder of unit radius around the $z$-axis.
    1. Give the unit vector tangential to the curve at a given point.
    2. Find the curvature and torsion of the spiral.
    3. Find the unit normal to the plane of the osculating circle and its radius. Is the center of the circle on the axis of the cylinder?

    Solution.

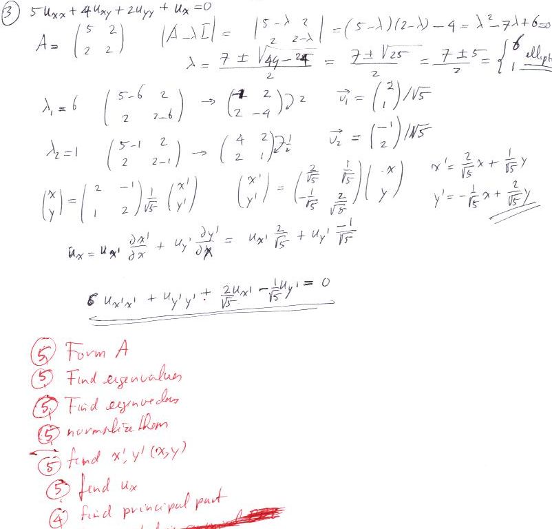
  3. Reduce the PDE

    \begin{displaymath}
5 u_{xx} + 4 u_{xy} + 2 u_{yy} + u_x = 0
\end{displaymath}

    to canonical form by rotating the coordinate system. Give the rotated coordinates in terms of the original ones and the canonical PDE.

    Solution.