EML 4930/5061 Analysis in M.E. II 03/03/10
Closed book Van Dommelen 9:40-10:30 am

Show all reasoning and intermediate results leading to your answer, or credit will be lost. One book of mathematical tables, such as Schaum's Mathematical Handbook, may be used, as well as a calculator and one handwritten letter-size single formula sheet.

  1. Consider the vector field

    \begin{displaymath}
\vec A = (2x+2y+yz, 2x+3y^2+xz,2z+xy)
\end{displaymath}

    Find the curl of this vector field. Show that $\vec A$ must be the gradient of some function $\phi$. Then rigorously derive the most general form of this function. Now consider the line integral $\int\vec A{\rm d}\vec r$ starting from the origin to the point (1,1,1) through the path

    \begin{displaymath}
y=\left(\frac{\sinh x}{\sinh 1}\right)^3
\qquad
z=\left(\frac{\sin x}{\sin 1}\right)^4
\end{displaymath}

    and then back again to the origin over the path

    \begin{displaymath}
x=\left(\frac{\sinh z}{\sinh 1}\right)^3
\qquad
y=\left(\frac{\sin z}{\sin 1}\right)^2
\end{displaymath}

    Give the value of this integral. Also give the value of the two individual pieces that the integral consists of.

    Solution.

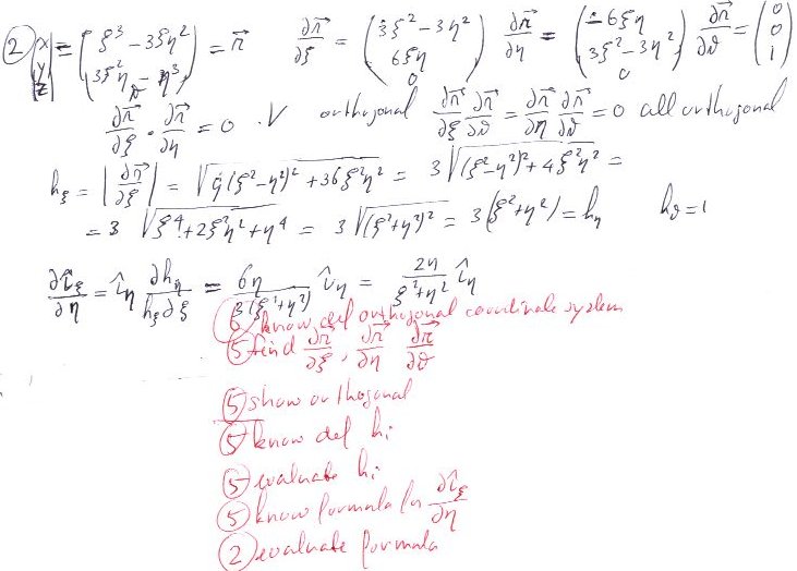
  2. Consider the curvilinear coordinates $\xi$, $\eta$, and $\theta$ given by

    \begin{displaymath}
x=\xi^3 - 3\xi\eta^2 \qquad y = 3\xi^2\eta-\eta^3 \qquad z=\theta
\end{displaymath}

    Show that this curvilinear coordinate system is orthogonal. Find the metric indices $h_\xi$, $h_\eta$, and $h_\theta$. Using these metric indices only, find the derivative of the unit vector $\hat\imath _\xi$ with respect to $\eta$.

    Solution.

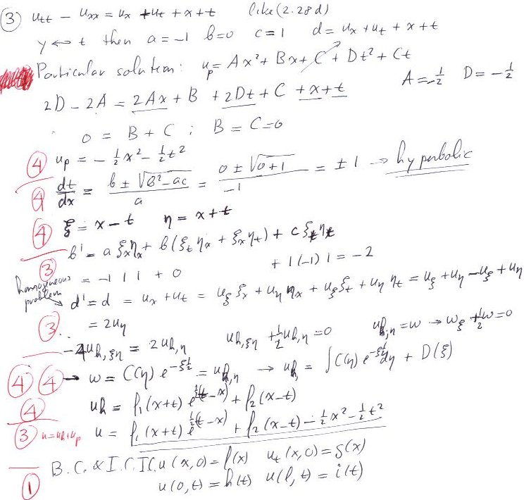
  3. Classify and solve the PDE

    \begin{displaymath}
u_{tt} + u_t + t = u_{xx} + u_x + x
\end{displaymath}

    Suppose you wanted to solve this PDE in a rectangle in the $xt$-plane, what would be appropriate BC/IC to add?

    Solution.