EML 4930/5061 Analysis in M.E. II 03/02/11
Closed book Van Dommelen 9:35-10:25 am

Show all reasoning and intermediate results leading to your answer, or credit will be lost. One book of mathematical tables, such as Schaum's Mathematical Handbook, may be used, as well as a calculator and one handwritten letter-size single formula sheet.

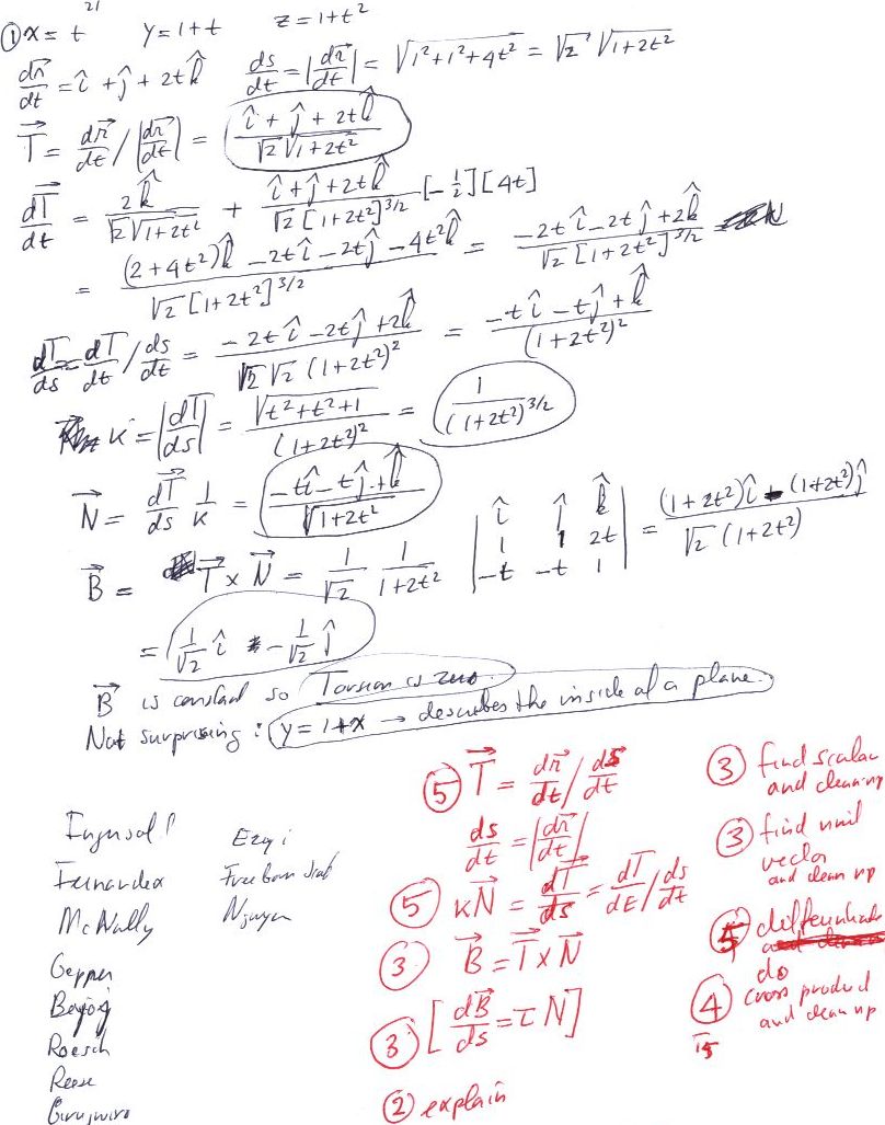
  1. A curve is described by

    \begin{displaymath}
x = t \qquad y = 1 + t \qquad z = 1+t^2
\end{displaymath}

    Find the unit vector in the direction of the curve, the curvature, the normal to the curve, the binormal, and the torsion. Why are you not surprised by the value of the torsion? Note, you should find that the normal is

    \begin{displaymath}
\frac{-t\hat\imath -t\hat\jmath +\hat k}{\sqrt{1+2t^2}}
\end{displaymath}

    Solution.

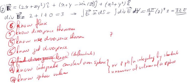
  2. Suppose that an electric field has the form

    \begin{displaymath}
\vec E = (2x+yz)\hat\imath +(x + y - \sin z)\hat\jmath + (x^3+y^3) \hat k
\end{displaymath}

    Find the flux of this vector field through the spherical surface of radius 2 centered around the point (1,1,1).

    Solution.

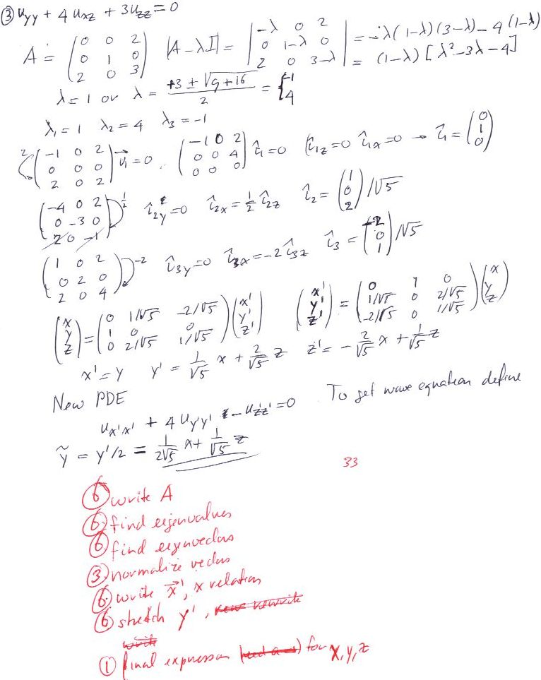
  3. Transform the partial differential equation

    \begin{displaymath}
u_{yy} + 4 u_{xz} + 3 u_{zz} = 0
\end{displaymath}

    into the wave equation with unit wave velocity by rotating and stretching coordinates. Give the new coordinates in terms of $x$, $y$, and $z$.

    Solution.